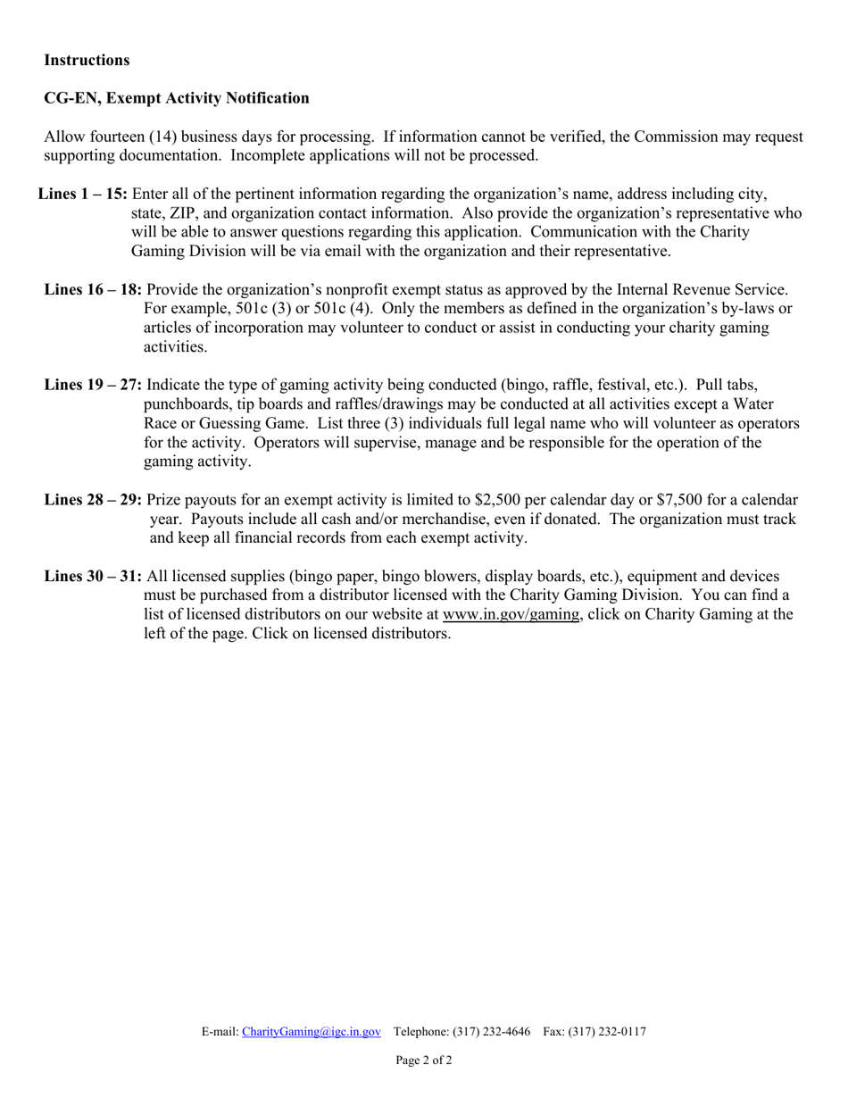
Form CG-EN (State Form 51413) Exempt Activity Notification - Indiana

Form CG-EN (State Form 51413) Exempt Activity Notification - Indiana

What Is Form CG-EN (State Form 51413)?

This is a legal form that was released by the Indiana Gaming Commission - a government authority operating within Indiana. As of today, no separate filing guidelines for the form are provided by the issuing department.

Form Details:

  • Released on June 1, 2019;
  • The latest edition provided by the Indiana Gaming Commission;
  • Easy to use and ready to print;
  • Quick to customize;
  • Compatible with most PDF-viewing applications;
  • Fill out the form in our online filing application.

Download a fillable version of Form CG-EN (State Form 51413) by clicking the link below or browse more documents and templates provided by the Indiana Gaming Commission.

ADVERTISEMENT

Other Revision

Download Form CG-EN (State Form 51413) Exempt Activity Notification - Indiana

4.4 of 5 (117 votes)
  • Form CG-EN (State Form 51413) Exempt Activity Notification - Indiana

    1

  • Form CG-EN (State Form 51413) Exempt Activity Notification - Indiana, Page 2

    2

  • Form CG-EN (State Form 51413) Exempt Activity Notification - Indiana, Page 1
  • Form CG-EN (State Form 51413) Exempt Activity Notification - Indiana, Page 2
Prev 1 2 Next
ADVERTISEMENT