Instructions for Form M1PR Homestead Credit Refund (For Homeowners) and Renter's Property Tax Refund - Minnesota

Instructions for Form M1PR Homestead Credit Refund (For Homeowners) and Renter's Property Tax Refund - Minnesota

This document contains official instructions for Form M1PR , Homestead Credit Refund (For Homeowners) and Renter's Property Tax Refund - a form released and collected by the Minnesota Department of Revenue.

Instruction Details:

  • This 32-page document is available for download in PDF;
  • Actual and applicable for the current year;
  • Complete, printable, and free.

Download your copy of the instructions by clicking the link below or browse hundreds of other forms in our library of forms released by the Minnesota Department of Revenue.

ADVERTISEMENT

Other Revision

Download Instructions for Form M1PR Homestead Credit Refund (For Homeowners) and Renter's Property Tax Refund - Minnesota

4.7 of 5 (19 votes)
  • Instructions for Form M1PR Homestead Credit Refund (For Homeowners) and Renter's Property Tax Refund - Minnesota

    1

  • Instructions for Form M1PR Homestead Credit Refund (For Homeowners) and Renter's Property Tax Refund - Minnesota, Page 2

    2

  • Instructions for Form M1PR Homestead Credit Refund (For Homeowners) and Renter's Property Tax Refund - Minnesota, Page 3

    3

  • Instructions for Form M1PR Homestead Credit Refund (For Homeowners) and Renter's Property Tax Refund - Minnesota, Page 4

    4

  • Instructions for Form M1PR Homestead Credit Refund (For Homeowners) and Renter's Property Tax Refund - Minnesota, Page 5

    5

  • Instructions for Form M1PR Homestead Credit Refund (For Homeowners) and Renter's Property Tax Refund - Minnesota, Page 6

    6

  • Instructions for Form M1PR Homestead Credit Refund (For Homeowners) and Renter's Property Tax Refund - Minnesota, Page 7

    7

  • Instructions for Form M1PR Homestead Credit Refund (For Homeowners) and Renter's Property Tax Refund - Minnesota, Page 8

    8

  • Instructions for Form M1PR Homestead Credit Refund (For Homeowners) and Renter's Property Tax Refund - Minnesota, Page 9

    9

  • Instructions for Form M1PR Homestead Credit Refund (For Homeowners) and Renter's Property Tax Refund - Minnesota, Page 10

    10

  • Instructions for Form M1PR Homestead Credit Refund (For Homeowners) and Renter's Property Tax Refund - Minnesota, Page 11

    11

  • Instructions for Form M1PR Homestead Credit Refund (For Homeowners) and Renter's Property Tax Refund - Minnesota, Page 12

    12

  • Instructions for Form M1PR Homestead Credit Refund (For Homeowners) and Renter's Property Tax Refund - Minnesota, Page 13

    13

  • Instructions for Form M1PR Homestead Credit Refund (For Homeowners) and Renter's Property Tax Refund - Minnesota, Page 14

    14

  • Instructions for Form M1PR Homestead Credit Refund (For Homeowners) and Renter's Property Tax Refund - Minnesota, Page 15

    15

  • Instructions for Form M1PR Homestead Credit Refund (For Homeowners) and Renter's Property Tax Refund - Minnesota, Page 16

    16

  • Instructions for Form M1PR Homestead Credit Refund (For Homeowners) and Renter's Property Tax Refund - Minnesota, Page 17

    17

  • Instructions for Form M1PR Homestead Credit Refund (For Homeowners) and Renter's Property Tax Refund - Minnesota, Page 18

    18

  • Instructions for Form M1PR Homestead Credit Refund (For Homeowners) and Renter's Property Tax Refund - Minnesota, Page 19

    19

  • Instructions for Form M1PR Homestead Credit Refund (For Homeowners) and Renter's Property Tax Refund - Minnesota, Page 20

    20

  • Instructions for Form M1PR Homestead Credit Refund (For Homeowners) and Renter's Property Tax Refund - Minnesota, Page 21

    21

  • Instructions for Form M1PR Homestead Credit Refund (For Homeowners) and Renter's Property Tax Refund - Minnesota, Page 22

    22

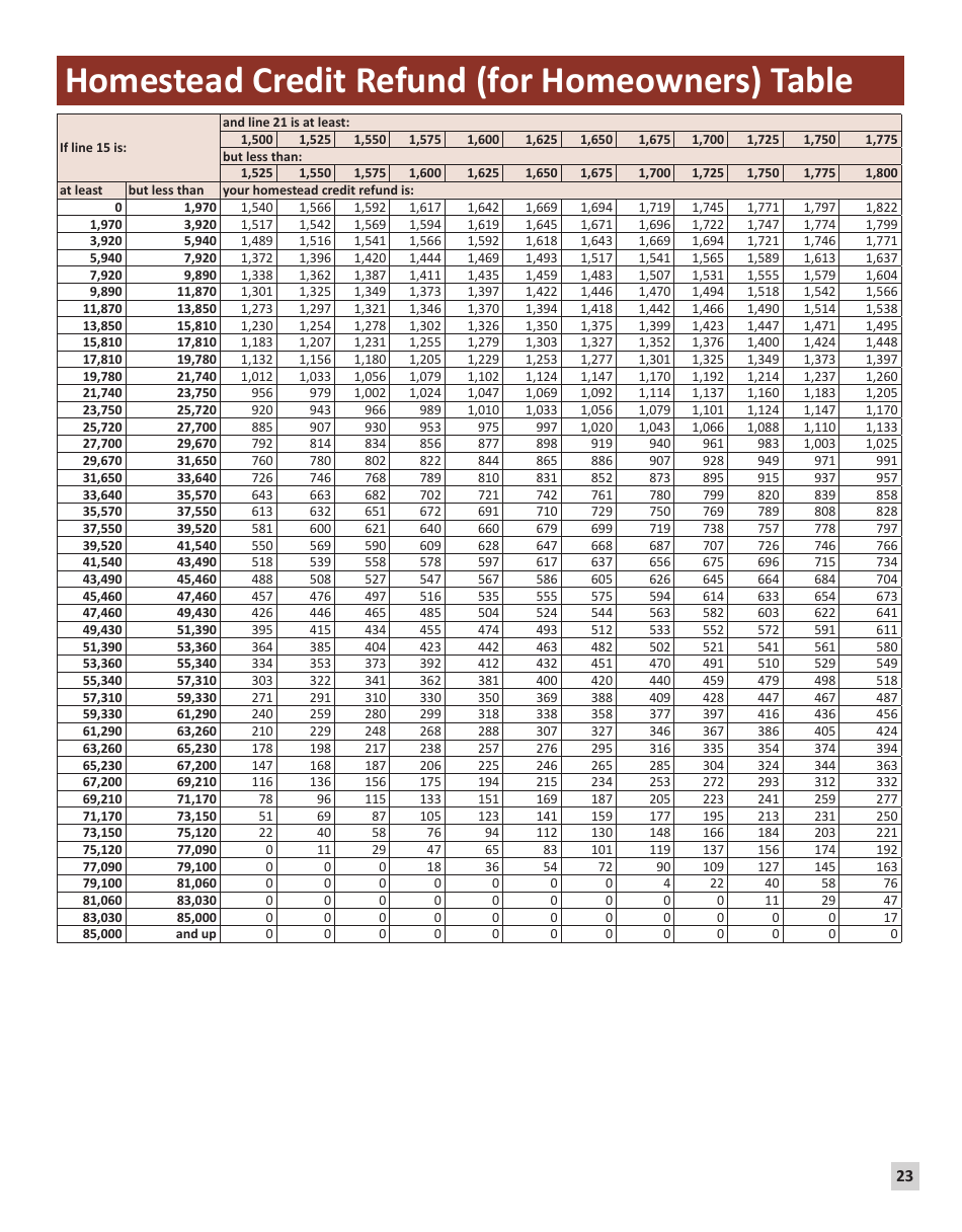
  • Instructions for Form M1PR Homestead Credit Refund (For Homeowners) and Renter's Property Tax Refund - Minnesota, Page 23

    23

  • Instructions for Form M1PR Homestead Credit Refund (For Homeowners) and Renter's Property Tax Refund - Minnesota, Page 24

    24

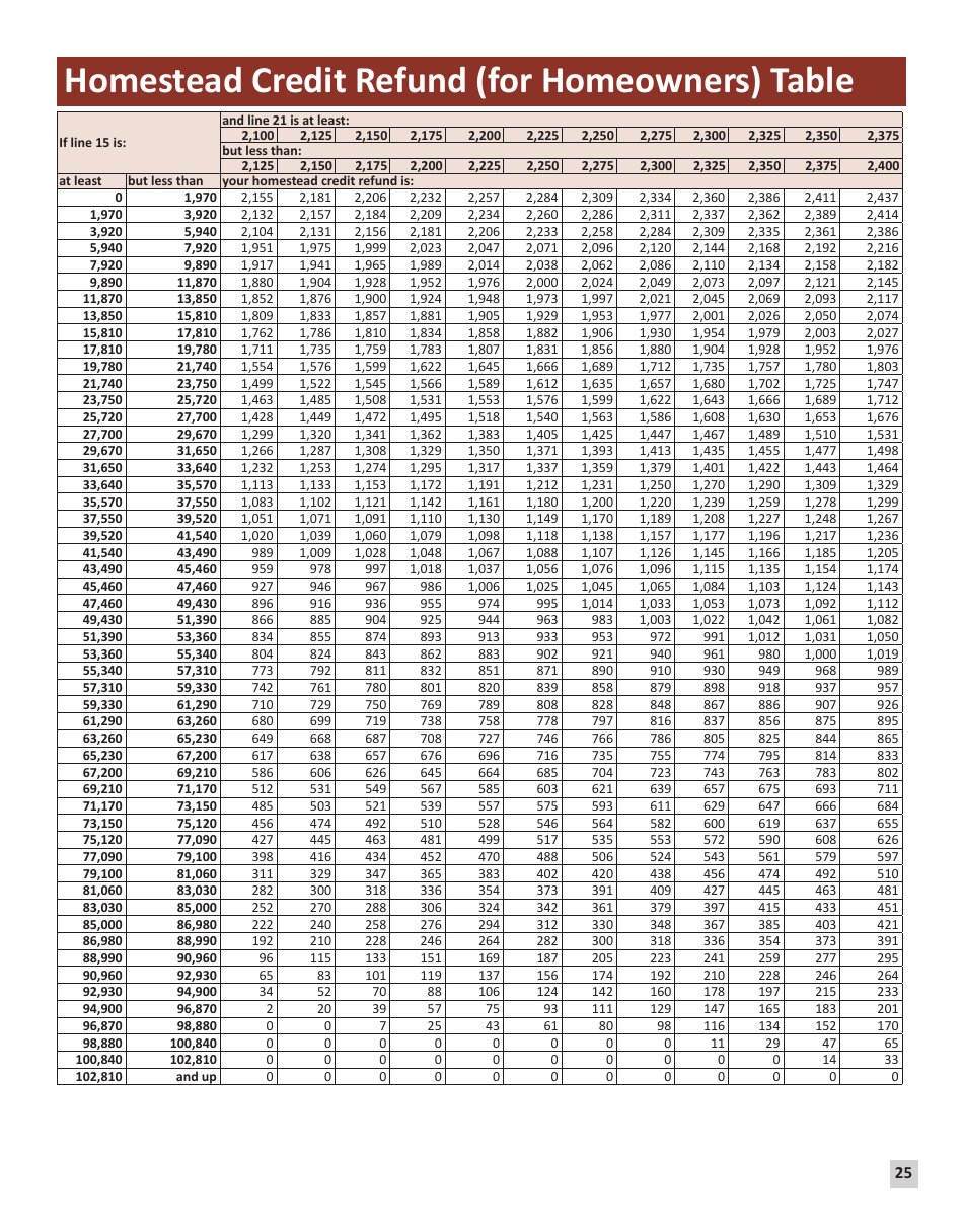
  • Instructions for Form M1PR Homestead Credit Refund (For Homeowners) and Renter's Property Tax Refund - Minnesota, Page 25

    25

  • Instructions for Form M1PR Homestead Credit Refund (For Homeowners) and Renter's Property Tax Refund - Minnesota, Page 26

    26

  • Instructions for Form M1PR Homestead Credit Refund (For Homeowners) and Renter's Property Tax Refund - Minnesota, Page 27

    27

  • Instructions for Form M1PR Homestead Credit Refund (For Homeowners) and Renter's Property Tax Refund - Minnesota, Page 28

    28

  • Instructions for Form M1PR Homestead Credit Refund (For Homeowners) and Renter's Property Tax Refund - Minnesota, Page 29

    29

  • Instructions for Form M1PR Homestead Credit Refund (For Homeowners) and Renter's Property Tax Refund - Minnesota, Page 30

    30

  • Instructions for Form M1PR Homestead Credit Refund (For Homeowners) and Renter's Property Tax Refund - Minnesota, Page 31

    31

  • Instructions for Form M1PR Homestead Credit Refund (For Homeowners) and Renter's Property Tax Refund - Minnesota, Page 32

    32

  • Instructions for Form M1PR Homestead Credit Refund (For Homeowners) and Renters Property Tax Refund - Minnesota, Page 1
  • Instructions for Form M1PR Homestead Credit Refund (For Homeowners) and Renters Property Tax Refund - Minnesota, Page 2
  • Instructions for Form M1PR Homestead Credit Refund (For Homeowners) and Renters Property Tax Refund - Minnesota, Page 3
  • Instructions for Form M1PR Homestead Credit Refund (For Homeowners) and Renters Property Tax Refund - Minnesota, Page 4
  • Instructions for Form M1PR Homestead Credit Refund (For Homeowners) and Renters Property Tax Refund - Minnesota, Page 5
  • Instructions for Form M1PR Homestead Credit Refund (For Homeowners) and Renters Property Tax Refund - Minnesota, Page 6
  • Instructions for Form M1PR Homestead Credit Refund (For Homeowners) and Renters Property Tax Refund - Minnesota, Page 7
  • Instructions for Form M1PR Homestead Credit Refund (For Homeowners) and Renters Property Tax Refund - Minnesota, Page 8
  • Instructions for Form M1PR Homestead Credit Refund (For Homeowners) and Renters Property Tax Refund - Minnesota, Page 9
  • Instructions for Form M1PR Homestead Credit Refund (For Homeowners) and Renters Property Tax Refund - Minnesota, Page 10
  • Instructions for Form M1PR Homestead Credit Refund (For Homeowners) and Renters Property Tax Refund - Minnesota, Page 11
  • Instructions for Form M1PR Homestead Credit Refund (For Homeowners) and Renters Property Tax Refund - Minnesota, Page 12
  • Instructions for Form M1PR Homestead Credit Refund (For Homeowners) and Renters Property Tax Refund - Minnesota, Page 13
  • Instructions for Form M1PR Homestead Credit Refund (For Homeowners) and Renters Property Tax Refund - Minnesota, Page 14
  • Instructions for Form M1PR Homestead Credit Refund (For Homeowners) and Renters Property Tax Refund - Minnesota, Page 15
  • Instructions for Form M1PR Homestead Credit Refund (For Homeowners) and Renters Property Tax Refund - Minnesota, Page 16
  • Instructions for Form M1PR Homestead Credit Refund (For Homeowners) and Renters Property Tax Refund - Minnesota, Page 17
  • Instructions for Form M1PR Homestead Credit Refund (For Homeowners) and Renters Property Tax Refund - Minnesota, Page 18
  • Instructions for Form M1PR Homestead Credit Refund (For Homeowners) and Renters Property Tax Refund - Minnesota, Page 19
  • Instructions for Form M1PR Homestead Credit Refund (For Homeowners) and Renters Property Tax Refund - Minnesota, Page 20
  • Instructions for Form M1PR Homestead Credit Refund (For Homeowners) and Renters Property Tax Refund - Minnesota, Page 21
  • Instructions for Form M1PR Homestead Credit Refund (For Homeowners) and Renters Property Tax Refund - Minnesota, Page 22
  • Instructions for Form M1PR Homestead Credit Refund (For Homeowners) and Renters Property Tax Refund - Minnesota, Page 23
  • Instructions for Form M1PR Homestead Credit Refund (For Homeowners) and Renters Property Tax Refund - Minnesota, Page 24
  • Instructions for Form M1PR Homestead Credit Refund (For Homeowners) and Renters Property Tax Refund - Minnesota, Page 25
  • Instructions for Form M1PR Homestead Credit Refund (For Homeowners) and Renters Property Tax Refund - Minnesota, Page 26
  • Instructions for Form M1PR Homestead Credit Refund (For Homeowners) and Renters Property Tax Refund - Minnesota, Page 27
  • Instructions for Form M1PR Homestead Credit Refund (For Homeowners) and Renters Property Tax Refund - Minnesota, Page 28
  • Instructions for Form M1PR Homestead Credit Refund (For Homeowners) and Renters Property Tax Refund - Minnesota, Page 29
  • Instructions for Form M1PR Homestead Credit Refund (For Homeowners) and Renters Property Tax Refund - Minnesota, Page 30
  • Instructions for Form M1PR Homestead Credit Refund (For Homeowners) and Renters Property Tax Refund - Minnesota, Page 31
  • Instructions for Form M1PR Homestead Credit Refund (For Homeowners) and Renters Property Tax Refund - Minnesota, Page 32
Prev 1 2 3 4 5 ... 32 Next
ADVERTISEMENT