Army
Business
Legal
Letters
Life
Real Estate
Tax
Wills
Blog
Upload
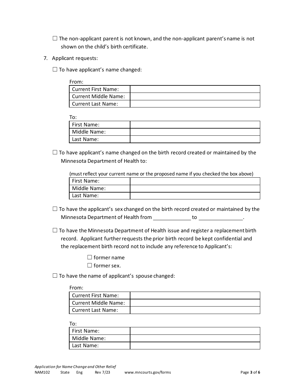
Form NAM102 Application for Name Change and Other Relief - Minnesota
Fill
PDF
Online
PDF
Word
Army
Business
Legal
Letters
Life
Real Estate
Tax
Wills
Blog
Upload
Home
Legal
United States Legal Forms
Minnesota Legal Forms
Minnesota Judicial Branch
Minnesota District Courts
Form NAM102 Application for Name Change and Other Relief - Minnesota
Form NAM102 Application for Name Change and Other Relief - Minnesota
Preview
Fill
PDF
Online
PDF
Word
Fill PDF Online
Fill out online for free
without registration or credit card
Instructions for Form NAM102, NAM103, NAM107 Application for Name Change and Other Relief - Minnesota
ADVERTISEMENT
Other Revision
2015
2023
Download Form NAM102 Application for Name Change and Other Relief - Minnesota
4.4
of 5
(
66 votes
)
PDF
Word
Fill PDF Online
1
2
3
4
5
6
Prev
1
2
3
4
5
6
Next
ADVERTISEMENT
Linked Topics
Name Change Requirements
Name Change Process
Legal Name Change Form
Minnesota Judicial Branch
Name Change Form
Minnesota District Courts
Minnesota Legal Forms
Legal
United States Legal Forms
Preview
Fill
PDF
Online
PDF
Word
Related Documents
Instructions for Form NAM102, NAM103, NAM107 Application for Name Change and Other Relief - Minnesota
Name/Address/Employer Change Request Form for Individual Licensees - Minnesota
Rap Firm Name Change Request - Minnesota
Form NAM202 Application for Name Change of a Minor - Minnesota
Form DS-5504 Application for a U.S. Passport for Eligible Individuals - Correction, Name Change to Passport Issued 1 Year Ago or Less, and Limited Passport Replacement
Form NAM104 Name Change Notice for Person With a Felony Conviction - Minnesota
Sole Proprietor Firm Name Change Request - Minnesota
Form AG01296 Seed Brand Name Registration Application - Minnesota
Form NAM107 Order Granting Name Change and Other Relief - Minnesota
Form NAM208 Order Granting Name Change of a Minor - Minnesota
Emi Independent Study Program Name Change Request
VA Form 29-586 Certification of Change or Correction of Name - Government Life Insurance
Form DS-60 Affidavit Regarding a Change of Name
Form NAM105 Inmate Affidavit for Name Change - Minnesota
Foreign Corporation or Cooperative Name Change Form - Minnesota
Form NAM203 Criminal History Check Release for Name Change of a Minor - Minnesota
Form PTO/SB/40 Request for Correction in a Patent Application Relating to Inventorship or an Inventor Name, or Order of Names, Other Than in a Reissue Application (37 Cfr 1.48)
Form PTO/AIA/40 Request for Correction in a Patent Application Relating to Inventorship or an Inventor Name, or Order of Names, Other Than in a Reissue Application (37 Cfr 1.48)
Form NAM207 Affidavit in Support of Order for Publication and Order for Publication (Minor Name Change) - Minnesota