FWS Form 3-200-10F Federal Fish and Wildlife Permit Application Form: Migratory Bird Special Purpose - Miscellaneous

FWS Form 3-200-10F Federal Fish and Wildlife Permit Application Form: Migratory Bird Special Purpose - Miscellaneous

What Is FWS Form 3-200-10F?

This is a legal form that was released by the U.S. Department of the Interior - Fish and Wildlife Service on July 1, 2019 and used country-wide. As of today, no separate filing guidelines for the form are provided by the issuing department.

Form Details:

  • Released on July 1, 2019;
  • The latest available edition released by the U.S. Department of the Interior - Fish and Wildlife Service;
  • Easy to use and ready to print;
  • Yours to fill out and keep for your records;
  • Compatible with most PDF-viewing applications;
  • Fill out the form in our online filing application.

Download a fillable version of FWS Form 3-200-10F by clicking the link below or browse more documents and templates provided by the U.S. Department of the Interior - Fish and Wildlife Service.

ADVERTISEMENT

Other Revision

Download FWS Form 3-200-10F Federal Fish and Wildlife Permit Application Form: Migratory Bird Special Purpose - Miscellaneous

4.5 of 5 (75 votes)
  • FWS Form 3-200-10F Federal Fish and Wildlife Permit Application Form: Migratory Bird Special Purpose - Miscellaneous

    1

  • FWS Form 3-200-10F Federal Fish and Wildlife Permit Application Form: Migratory Bird Special Purpose - Miscellaneous, Page 2

    2

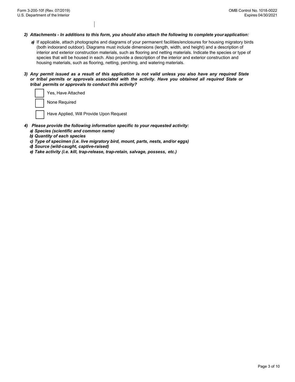
  • FWS Form 3-200-10F Federal Fish and Wildlife Permit Application Form: Migratory Bird Special Purpose - Miscellaneous, Page 3

    3

  • FWS Form 3-200-10F Federal Fish and Wildlife Permit Application Form: Migratory Bird Special Purpose - Miscellaneous, Page 4

    4

  • FWS Form 3-200-10F Federal Fish and Wildlife Permit Application Form: Migratory Bird Special Purpose - Miscellaneous, Page 5

    5

  • FWS Form 3-200-10F Federal Fish and Wildlife Permit Application Form: Migratory Bird Special Purpose - Miscellaneous, Page 6

    6

  • FWS Form 3-200-10F Federal Fish and Wildlife Permit Application Form: Migratory Bird Special Purpose - Miscellaneous, Page 7

    7

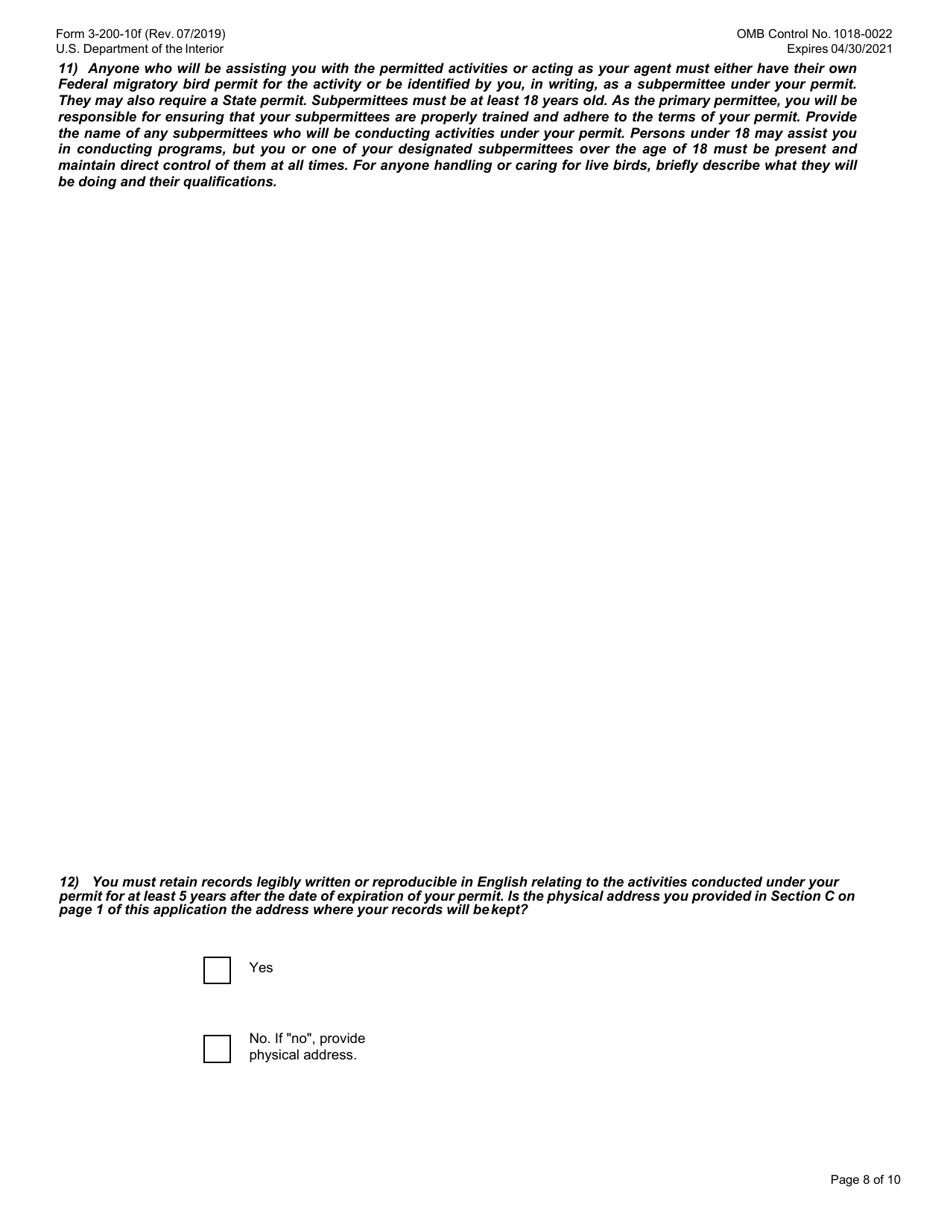
  • FWS Form 3-200-10F Federal Fish and Wildlife Permit Application Form: Migratory Bird Special Purpose - Miscellaneous, Page 8

    8

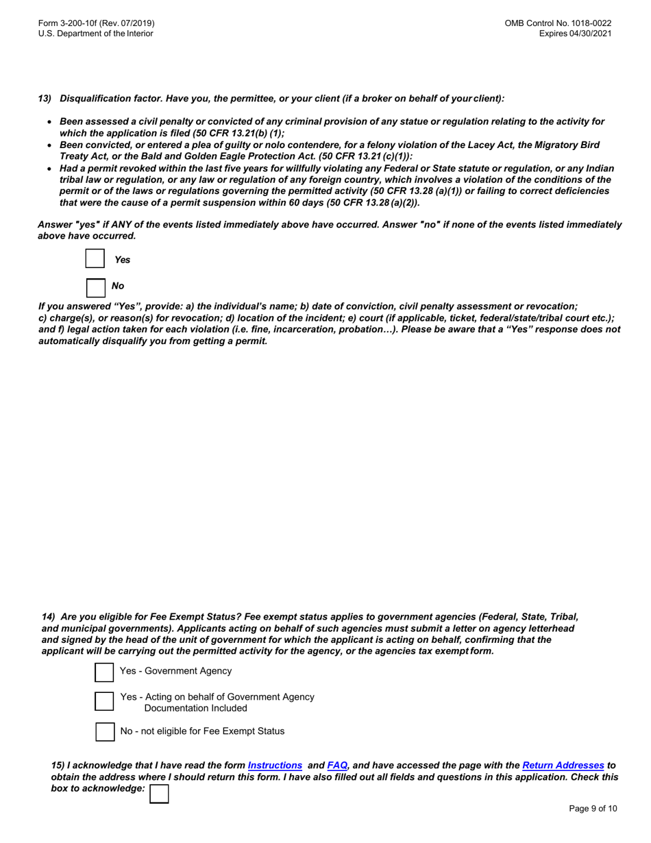
  • FWS Form 3-200-10F Federal Fish and Wildlife Permit Application Form: Migratory Bird Special Purpose - Miscellaneous, Page 9

    9

  • FWS Form 3-200-10F Federal Fish and Wildlife Permit Application Form: Migratory Bird Special Purpose - Miscellaneous, Page 10

    10

  • FWS Form 3-200-10F Federal Fish and Wildlife Permit Application Form: Migratory Bird Special Purpose - Miscellaneous, Page 1
  • FWS Form 3-200-10F Federal Fish and Wildlife Permit Application Form: Migratory Bird Special Purpose - Miscellaneous, Page 2
  • FWS Form 3-200-10F Federal Fish and Wildlife Permit Application Form: Migratory Bird Special Purpose - Miscellaneous, Page 3
  • FWS Form 3-200-10F Federal Fish and Wildlife Permit Application Form: Migratory Bird Special Purpose - Miscellaneous, Page 4
  • FWS Form 3-200-10F Federal Fish and Wildlife Permit Application Form: Migratory Bird Special Purpose - Miscellaneous, Page 5
  • FWS Form 3-200-10F Federal Fish and Wildlife Permit Application Form: Migratory Bird Special Purpose - Miscellaneous, Page 6
  • FWS Form 3-200-10F Federal Fish and Wildlife Permit Application Form: Migratory Bird Special Purpose - Miscellaneous, Page 7
  • FWS Form 3-200-10F Federal Fish and Wildlife Permit Application Form: Migratory Bird Special Purpose - Miscellaneous, Page 8
  • FWS Form 3-200-10F Federal Fish and Wildlife Permit Application Form: Migratory Bird Special Purpose - Miscellaneous, Page 9
  • FWS Form 3-200-10F Federal Fish and Wildlife Permit Application Form: Migratory Bird Special Purpose - Miscellaneous, Page 10
Prev 1 2 3 4 5 ... 10 Next
ADVERTISEMENT

Related Documents