Form SJ-1043A Application to Lift Suspension of a Driver's Licence or the Right to Obtain One - Quebec, Canada

Form SJ-1043A Application to Lift Suspension of a Driver's Licence or the Right to Obtain One - Quebec, Canada

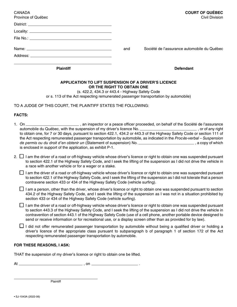
Form SJ-1043A Application to Lift Suspension of a Driver's Licence or the Right to Obtain One in Quebec, Canada is used to request the removal of a suspension on a driver's license or the right to obtain one.

The Form SJ-1043A is filed by the individual who wants to lift the suspension of their driver's license or obtain a new one in Quebec, Canada.

Form SJ-1043A Application to Lift Suspension of a Driver's Licence or the Right to Obtain One - Quebec, Canada - Frequently Asked Questions (FAQ)

Q: What is Form SJ-1043A?
A:
Form SJ-1043A is an application to lift the suspension of a driver's license or the right to obtain one in Quebec, Canada.

Q: Who can use Form SJ-1043A?
A:
Form SJ-1043A can be used by individuals in Quebec, Canada, who have had their driver's license suspended or are prohibited from obtaining one.

Q: What is the purpose of Form SJ-1043A?
A:
The purpose of Form SJ-1043A is to request the lifting of a driver's license suspension or the right to obtain one in Quebec, Canada.

Q: What information is required on Form SJ-1043A?
A:
Form SJ-1043A requires personal information, details about the suspension/prohibition, and reasons for the request.

Q: Are there any fees associated with Form SJ-1043A?
A:
Yes, there may be fees associated with submitting Form SJ-1043A. The exact amount can be obtained from the SAAQ.

Q: How long does it take for Form SJ-1043A to be processed?
A:
The processing time for Form SJ-1043A may vary. It is best to contact the SAAQ to inquire about the specific timeframe.

Q: What should I do after submitting Form SJ-1043A?
A:
After submitting Form SJ-1043A, you should wait for a response from the SAAQ. They will inform you about the outcome and any further steps to be taken, if applicable.

ADVERTISEMENT

Other Revisions

Download Form SJ-1043A Application to Lift Suspension of a Driver's Licence or the Right to Obtain One - Quebec, Canada

4.5 of 5 (59 votes)
  • Form SJ-1043A Application to Lift Suspension of a Driver's Licence or the Right to Obtain One - Quebec, Canada

    1

  • Form SJ-1043A Application to Lift Suspension of a Driver's Licence or the Right to Obtain One - Quebec, Canada, Page 2

    2

  • Form SJ-1043A Application to Lift Suspension of a Driver's Licence or the Right to Obtain One - Quebec, Canada, Page 3

    3

  • Form SJ-1043A Application to Lift Suspension of a Driver's Licence or the Right to Obtain One - Quebec, Canada, Page 4

    4

  • Form SJ-1043A Application to Lift Suspension of a Driver's Licence or the Right to Obtain One - Quebec, Canada, Page 5

    5

  • Form SJ-1043A Application to Lift Suspension of a Drivers Licence or the Right to Obtain One - Quebec, Canada, Page 1
  • Form SJ-1043A Application to Lift Suspension of a Drivers Licence or the Right to Obtain One - Quebec, Canada, Page 2
  • Form SJ-1043A Application to Lift Suspension of a Drivers Licence or the Right to Obtain One - Quebec, Canada, Page 3
  • Form SJ-1043A Application to Lift Suspension of a Drivers Licence or the Right to Obtain One - Quebec, Canada, Page 4
  • Form SJ-1043A Application to Lift Suspension of a Drivers Licence or the Right to Obtain One - Quebec, Canada, Page 5
Prev 1 2 3 4 5 Next
ADVERTISEMENT

Related Documents