Form AOC-1027 Verification of Compliance With Cares Act - Kentucky

Form AOC-1027 Verification of Compliance With Cares Act - Kentucky

What Is Form AOC-1027?

This is a legal form that was released by the Kentucky Court of Justice - a government authority operating within Kentucky. As of today, no separate filing guidelines for the form are provided by the issuing department.

Form Details:

  • Released on January 1, 2021;
  • The latest edition provided by the Kentucky Court of Justice;
  • Easy to use and ready to print;
  • Quick to customize;
  • Compatible with most PDF-viewing applications;
  • Fill out the form in our online filing application.

Download a fillable version of Form AOC-1027 by clicking the link below or browse more documents and templates provided by the Kentucky Court of Justice.

ADVERTISEMENT

Other Revision

Download Form AOC-1027 Verification of Compliance With Cares Act - Kentucky

4.4 of 5 (44 votes)
  • Form AOC-1027 Verification of Compliance With Cares Act - Kentucky

    1

  • Form AOC-1027 Verification of Compliance With Cares Act - Kentucky, Page 2

    2

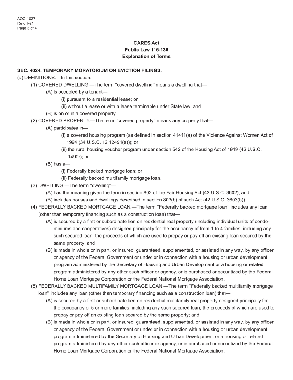
  • Form AOC-1027 Verification of Compliance With Cares Act - Kentucky, Page 3

    3

  • Form AOC-1027 Verification of Compliance With Cares Act - Kentucky, Page 4

    4

  • Form AOC-1027 Verification of Compliance With Cares Act - Kentucky, Page 1
  • Form AOC-1027 Verification of Compliance With Cares Act - Kentucky, Page 2
  • Form AOC-1027 Verification of Compliance With Cares Act - Kentucky, Page 3
  • Form AOC-1027 Verification of Compliance With Cares Act - Kentucky, Page 4
Prev 1 2 3 4 Next
ADVERTISEMENT