Form 10520 Judgment Approving Minor's Settlement and Directing the (Deposit) (Investment) of Funds - New Jersey

Form 10520 Judgment Approving Minor's Settlement and Directing the (Deposit) (Investment) of Funds - New Jersey

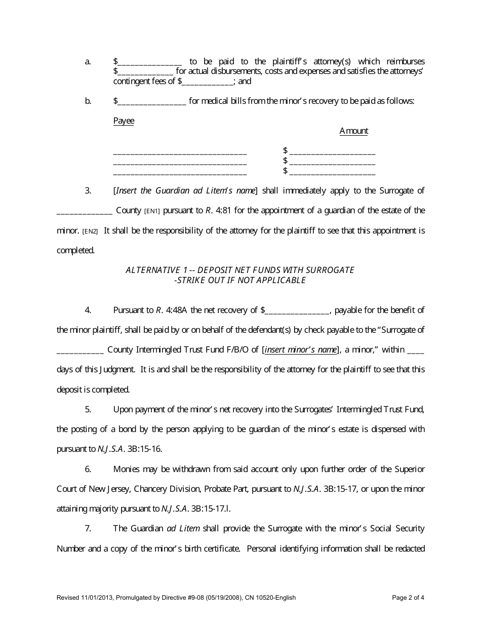
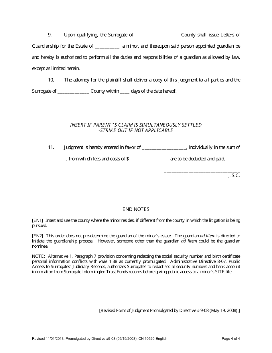
What Is Form 10520?

This is a legal form that was released by the New Jersey Superior Court - a government authority operating within New Jersey. As of today, no separate filing guidelines for the form are provided by the issuing department.

FAQ

Q: What is Form 10520?
A: Form 10520 is a document used in New Jersey to obtain a judgment approving a minor's settlement and directing the deposit or investment of funds.

Q: What does Form 10520 do?
A: Form 10520 allows for the court's approval and instructions regarding the settlement funds of a minor.

Q: Who uses Form 10520?
A: Attorneys and guardians ad litem representing minors involved in legal settlements in New Jersey may use Form 10520.

Q: Why is Form 10520 important?
A: Form 10520 ensures that the settlement funds of a minor are handled appropriately and in their best interest.

ADVERTISEMENT

Form Details:

  • Released on November 1, 2013;
  • The latest edition provided by the New Jersey Superior Court;
  • Easy to use and ready to print;
  • Quick to customize;
  • Compatible with most PDF-viewing applications;
  • Fill out the form in our online filing application.

Download a printable version of Form 10520 by clicking the link below or browse more documents and templates provided by the New Jersey Superior Court.

Download Form 10520 Judgment Approving Minor's Settlement and Directing the (Deposit) (Investment) of Funds - New Jersey

4.8 of 5 (9 votes)
  • Form 10520 Judgment Approving Minor's Settlement and Directing the (Deposit) (Investment) of Funds - New Jersey

    1

  • Form 10520 Judgment Approving Minor's Settlement and Directing the (Deposit) (Investment) of Funds - New Jersey, Page 2

    2

  • Form 10520 Judgment Approving Minor's Settlement and Directing the (Deposit) (Investment) of Funds - New Jersey, Page 3

    3

  • Form 10520 Judgment Approving Minor's Settlement and Directing the (Deposit) (Investment) of Funds - New Jersey, Page 4

    4

  • Form 10520 Judgment Approving Minors Settlement and Directing the (Deposit) (Investment) of Funds - New Jersey, Page 1
  • Form 10520 Judgment Approving Minors Settlement and Directing the (Deposit) (Investment) of Funds - New Jersey, Page 2
  • Form 10520 Judgment Approving Minors Settlement and Directing the (Deposit) (Investment) of Funds - New Jersey, Page 3
  • Form 10520 Judgment Approving Minors Settlement and Directing the (Deposit) (Investment) of Funds - New Jersey, Page 4
Prev 1 2 3 4 Next
ADVERTISEMENT