Form T.D.-1 Employee's Declaration of Emoluments, Deductions and Tax Credits - Trinidad and Tobago

Form T.D.-1 Employee's Declaration of Emoluments, Deductions and Tax Credits - Trinidad and Tobago

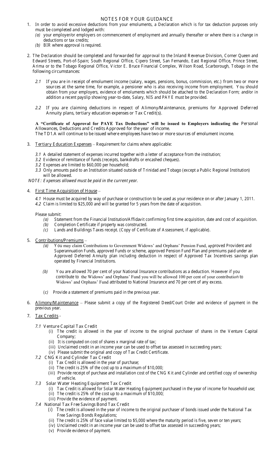
Form T.D.-1 Employee's Declaration of Emoluments, Deductions and Tax Credits in Trinidad and Tobago is used for reporting personal income information by employees. The form is required to be completed by employees and submitted to their employer for the purpose of determining the appropriate amount of income tax to be withheld from their salary. It provides details regarding income earned, deductions claimed, and tax credits applicable, which helps in accurately calculating the taxes owed by the employee. The form ensures that income tax is deducted correctly, taking into account any eligible deductions and tax credits, and helps in the proper administration of the tax system in Trinidad and Tobago.

In Trinidad and Tobago, the Form T.D.-1 Employee's Declaration of Emoluments, Deductions and Tax Credits is typically filed by employees themselves. It is a form that allows employees to declare their income, deductions, and tax credits to calculate the amount of tax they owe. It is an important document for individuals to ensure they are paying the correct amount of taxes based on their income and eligible deductions.

FAQ

Q: What is Form T.D.-1?
A: Form T.D.-1 is the Employee's Declaration of Emoluments, Deductions and Tax Credits used in Trinidad and Tobago.

Q: What is the purpose of Form T.D.-1?
A: The purpose of Form T.D.-1 is for employees to declare their emoluments (income), deductions, and tax credits to the Trinidad and Tobago Revenue Authority (TTRA).

Q: Who needs to fill out Form T.D.-1?
A: All employees in Trinidad and Tobago are required to fill out Form T.D.-1 to report their income, deductions, and tax credits.

Q: When should Form T.D.-1 be filled out?
A: Form T.D.-1 should generally be filled out by employees once a year, before the tax filing deadline.

Q: What information is required on Form T.D.-1?
A: Form T.D.-1 requires employees to provide information on their emoluments (income), deductions, and tax credits. This includes details of their employment income, allowances, benefits, and eligible deductions.

Q: Are there any penalties for not filing Form T.D.-1?
A: Yes, there can be penalties for not filing Form T.D.-1 or for providing false information. It is important to comply with the tax laws and meet the submission deadlines.

Q: Can I claim tax credits on Form T.D.-1?
A: Yes, taxpayers can claim eligible tax credits on Form T.D.-1. These credits can help reduce the overall tax liability.

Q: Is Form T.D.-1 only for employed individuals?
A: Yes, Form T.D.-1 is specifically for employees in Trinidad and Tobago. Self-employed individuals have different forms to report their income and deductions.

ADVERTISEMENT

Download Form T.D.-1 Employee's Declaration of Emoluments, Deductions and Tax Credits - Trinidad and Tobago

4.4 of 5 (41 votes)
  • Form T.D.-1 Employee's Declaration of Emoluments, Deductions and Tax Credits - Trinidad and Tobago

    1

  • Form T.D.-1 Employee's Declaration of Emoluments, Deductions and Tax Credits - Trinidad and Tobago, Page 2

    2

  • Form T.D.-1 Employee's Declaration of Emoluments, Deductions and Tax Credits - Trinidad and Tobago, Page 3

    3

  • Form T.D.-1 Employees Declaration of Emoluments, Deductions and Tax Credits - Trinidad and Tobago, Page 1
  • Form T.D.-1 Employees Declaration of Emoluments, Deductions and Tax Credits - Trinidad and Tobago, Page 2
  • Form T.D.-1 Employees Declaration of Emoluments, Deductions and Tax Credits - Trinidad and Tobago, Page 3
Prev 1 2 3 Next
ADVERTISEMENT

Related Documents