VA Form 10-0388-5 Additional Documents and Information Required for State Home Construction and Acquisition Grants Application

VA Form 10-0388-5 Additional Documents and Information Required for State Home Construction and Acquisition Grants Application

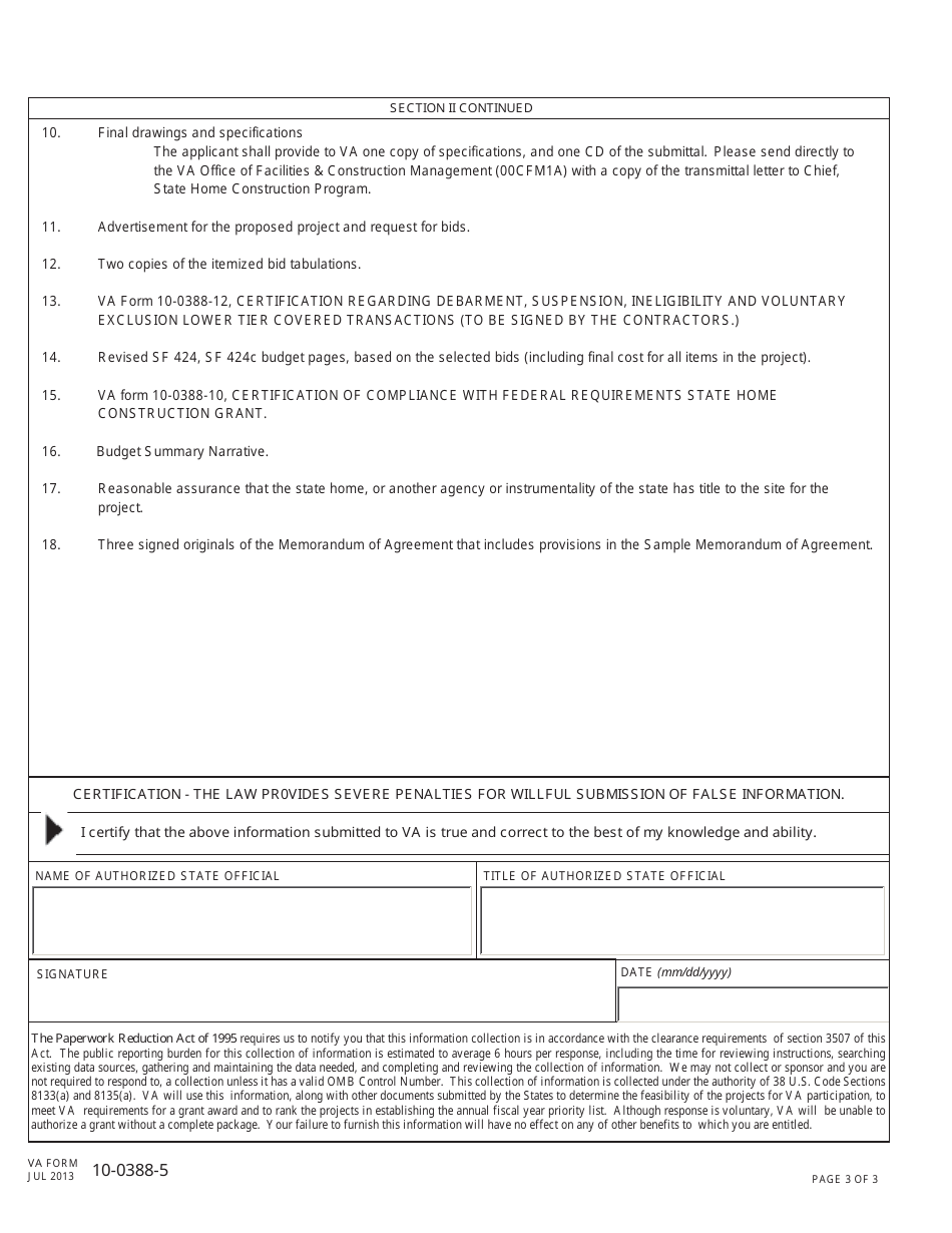
What Is VA Form 10-0388-5?

This is a legal form that was released by the U.S. Department of Veterans Affairs on July 1, 2013 and used country-wide. As of today, no separate filing guidelines for the form are provided by the issuing department.

FAQ

Q: What is VA Form 10-0388-5?
A: VA Form 10-0388-5 is a form used for State Home Construction and Acquisition Grants Application.

Q: What is the purpose of VA Form 10-0388-5?
A: The purpose of VA Form 10-0388-5 is to collect additional documents and information required for the State Home Construction and Acquisition Grants Application.

Q: Who needs to fill out VA Form 10-0388-5?
A: VA Form 10-0388-5 needs to be filled out by individuals or organizations applying for State Home Construction and Acquisition Grants.

Q: What type of information is required in VA Form 10-0388-5?
A: VA Form 10-0388-5 requires additional documents and information related to the State Home Construction and Acquisition Grants application, such as project description, cost estimates, and funding sources.

Q: Are there any deadlines for submitting VA Form 10-0388-5?
A: The deadlines for submitting VA Form 10-0388-5 may vary, so it's important to check the instructions on the form or consult with the appropriate VA office for specific deadlines.

Q: What is the purpose of State Home Construction and Acquisition Grants?
A: State Home Construction and Acquisition Grants are provided by the U.S. Department of Veterans Affairs to assist states in constructing, acquiring, or renovating facilities to provide care for veterans.

Q: Is there any cost associated with applying for State Home Construction and Acquisition Grants?
A: There is no cost to apply for State Home Construction and Acquisition Grants. However, there may be costs associated with the construction or acquisition of the state home facility.

ADVERTISEMENT

Form Details:

  • Released on July 1, 2013;
  • The latest available edition released by the U.S. Department of Veterans Affairs;
  • Easy to use and ready to print;
  • Yours to fill out and keep for your records;
  • Compatible with most PDF-viewing applications;
  • Fill out the form in our online filing application.

Download a fillable version of VA Form 10-0388-5 by clicking the link below or browse more documents and templates provided by the U.S. Department of Veterans Affairs.

Download VA Form 10-0388-5 Additional Documents and Information Required for State Home Construction and Acquisition Grants Application

4.3 of 5 (66 votes)
  • VA Form 10-0388-5 Additional Documents and Information Required for State Home Construction and Acquisition Grants Application

    1

  • VA Form 10-0388-5 Additional Documents and Information Required for State Home Construction and Acquisition Grants Application, Page 2

    2

  • VA Form 10-0388-5 Additional Documents and Information Required for State Home Construction and Acquisition Grants Application, Page 3

    3

  • VA Form 10-0388-5 Additional Documents and Information Required for State Home Construction and Acquisition Grants Application, Page 1
  • VA Form 10-0388-5 Additional Documents and Information Required for State Home Construction and Acquisition Grants Application, Page 2
  • VA Form 10-0388-5 Additional Documents and Information Required for State Home Construction and Acquisition Grants Application, Page 3
Prev 1 2 3 Next
ADVERTISEMENT