Form PHS-1662 Request for Personnel Action - Commissioned Officer

Form PHS-1662 Request for Personnel Action - Commissioned Officer

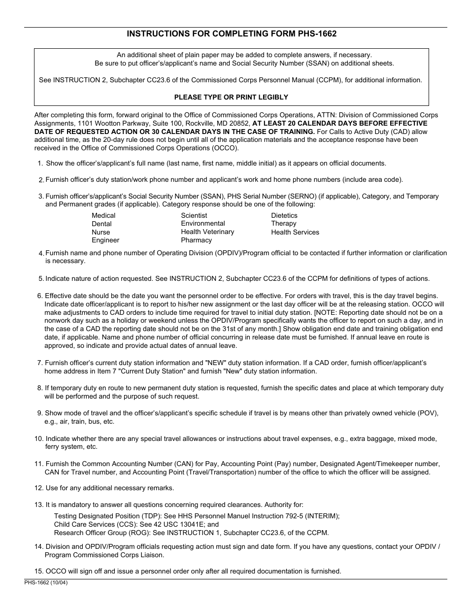
What Is Form PHS-1662?

This is a legal form that was released by the U.S. Department of Health and Human Services on October 1, 2004 and used country-wide. As of today, no separate filing guidelines for the form are provided by the issuing department.

FAQ

Q: What is Form PHS-1662?
A: Form PHS-1662 is a request for personnel action specifically designed for commissioned officers in the Public Health Service (PHS).

Q: Who uses Form PHS-1662?
A: Commissioned officers in the Public Health Service (PHS) use Form PHS-1662 for requesting personnel actions.

Q: What can be requested using Form PHS-1662?
A: Form PHS-1662 can be used to request various personnel actions, such as promotions, transfers, resignations, and retirements.

Q: Are there any specific instructions for filling out Form PHS-1662?
A: Yes, there are specific instructions provided with Form PHS-1662 that should be followed carefully while filling out the form.

Q: Is there a deadline for submitting Form PHS-1662?
A: The deadline for submitting Form PHS-1662 may vary depending on the type of personnel action being requested. It is important to check the specific instructions and deadlines for each action.

ADVERTISEMENT

Form Details:

  • Released on October 1, 2004;
  • The latest available edition released by the U.S. Department of Health and Human Services;
  • Easy to use and ready to print;
  • Yours to fill out and keep for your records;
  • Compatible with most PDF-viewing applications;
  • Fill out the form in our online filing application.

Download a fillable version of Form PHS-1662 by clicking the link below or browse more documents and templates provided by the U.S. Department of Health and Human Services.

Download Form PHS-1662 Request for Personnel Action - Commissioned Officer

4.8 of 5 (76 votes)
  • Form PHS-1662 Request for Personnel Action - Commissioned Officer

    1

  • Form PHS-1662 Request for Personnel Action - Commissioned Officer, Page 2

    2

  • Form PHS-1662 Request for Personnel Action - Commissioned Officer, Page 3

    3

  • Form PHS-1662 Request for Personnel Action - Commissioned Officer, Page 1
  • Form PHS-1662 Request for Personnel Action - Commissioned Officer, Page 2
  • Form PHS-1662 Request for Personnel Action - Commissioned Officer, Page 3
Prev 1 2 3 Next
ADVERTISEMENT