FCC Form 2100 Schedule 387 Transition Progress Report

FCC Form 2100 Schedule 387 Transition Progress Report

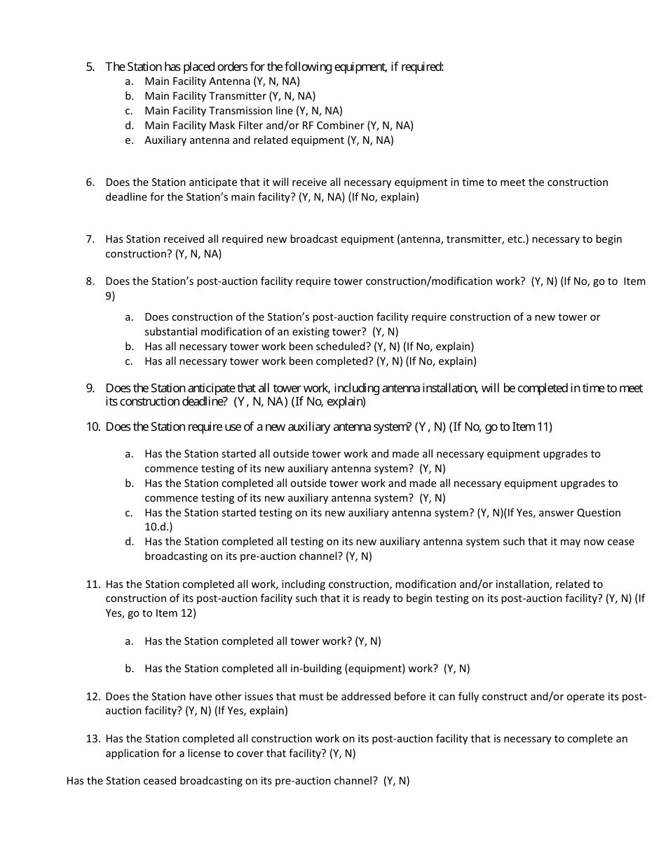
What Is FCC Form 2100 Schedule 387?

This is a legal form that was released by the Federal Communications Commission and used country-wide. As of today, no separate filing guidelines for the form are provided by the issuing department.

FAQ

Q: What is FCC Form 2100 Schedule 387?
A: FCC Form 2100 Schedule 387 is a Transition Progress Report required by the Federal Communications Commission (FCC).

Q: Who needs to file FCC Form 2100 Schedule 387?
A: Broadcast television licensees who are participating in the broadcast television spectrum incentive auction are required to file FCC Form 2100 Schedule 387.

Q: What is the purpose of FCC Form 2100 Schedule 387?
A: The purpose of FCC Form 2100 Schedule 387 is to provide information on the progress of a broadcaster's transition to a new channel or alternative facility after relinquishing their current broadcast spectrum.

Q: What information is required in FCC Form 2100 Schedule 387?
A: FCC Form 2100 Schedule 387 requires information such as the current and new channel assignment, construction progress, technical issues encountered, and planned completion dates.

Q: When is FCC Form 2100 Schedule 387 due?
A: FCC Form 2100 Schedule 387 is typically due quarterly, with specific due dates determined by the FCC.

Q: Are there any penalties for not filing FCC Form 2100 Schedule 387?
A: Failure to file FCC Form 2100 Schedule 387 or providing false or misleading information can result in penalties imposed by the FCC.

Q: Can broadcast television licensees request an extension for filing FCC Form 2100 Schedule 387?
A: Yes, broadcast television licensees may request an extension for filing FCC Form 2100 Schedule 387 if they are unable to meet the original deadline.

ADVERTISEMENT

Form Details:

  • The latest available edition released by the Federal Communications Commission;
  • Easy to use and ready to print;
  • Yours to fill out and keep for your records;
  • Compatible with most PDF-viewing applications;
  • Fill out the form in our online filing application.

Download a printable version of FCC Form 2100 Schedule 387 by clicking the link below or browse more documents and templates provided by the Federal Communications Commission.

Download FCC Form 2100 Schedule 387 Transition Progress Report

4.4 of 5 (27 votes)
  • FCC Form 2100 Schedule 387 Transition Progress Report

    1

  • FCC Form 2100 Schedule 387 Transition Progress Report, Page 2

    2

  • FCC Form 2100 Schedule 387 Transition Progress Report, Page 3

    3

  • FCC Form 2100 Schedule 387 Transition Progress Report, Page 4

    4

  • FCC Form 2100 Schedule 387 Transition Progress Report, Page 1
  • FCC Form 2100 Schedule 387 Transition Progress Report, Page 2
  • FCC Form 2100 Schedule 387 Transition Progress Report, Page 3
  • FCC Form 2100 Schedule 387 Transition Progress Report, Page 4
Prev 1 2 3 4 Next
ADVERTISEMENT

Related Documents