VA Form 10-10072 Supportive Services for Veteran Families (SSVF) Program Application for Supportive Services Grant

VA Form 10-10072 Supportive Services for Veteran Families (SSVF) Program Application for Supportive Services Grant

What Is VA Form 10-10072?

This is a legal form that was released by the U.S. Department of Veterans Affairs on August 1, 2013 and used country-wide. As of today, no separate filing guidelines for the form are provided by the issuing department.

FAQ

Q: What is VA Form 10-10072?
A: VA Form 10-10072 is the application for the Supportive Services for Veteran Families (SSVF) Program.

Q: What is the SSVF Program?
A: The Supportive Services for Veteran Families (SSVF) Program provides grants to organizations that offer support services to veterans and their families.

Q: Who can apply for the SSVF Program?
A: Nonprofit organizations in the United States or its territories can apply for the SSVF Program grants.

Q: What kind of support services does the SSVF Program provide?
A: The SSVF Program provides services such as case management, assistance with obtaining VA benefits, housing counseling, and other supportive services for veterans and their families.

Q: What should I include in my SSVF Program application?
A: Your SSVF Program application should include information about your organization, proposed services, budget, and other required documentation as specified in the application instructions.

ADVERTISEMENT

Form Details:

  • Released on August 1, 2013;
  • The latest available edition released by the U.S. Department of Veterans Affairs;
  • Easy to use and ready to print;
  • Yours to fill out and keep for your records;
  • Compatible with most PDF-viewing applications;
  • Fill out the form in our online filing application.

Download a fillable version of VA Form 10-10072 by clicking the link below or browse more documents and templates provided by the U.S. Department of Veterans Affairs.

Download VA Form 10-10072 Supportive Services for Veteran Families (SSVF) Program Application for Supportive Services Grant

4.3 of 5 (55 votes)
  • VA Form 10-10072 Supportive Services for Veteran Families (SSVF) Program Application for Supportive Services Grant

    1

  • VA Form 10-10072 Supportive Services for Veteran Families (SSVF) Program Application for Supportive Services Grant, Page 2

    2

  • VA Form 10-10072 Supportive Services for Veteran Families (SSVF) Program Application for Supportive Services Grant, Page 3

    3

  • VA Form 10-10072 Supportive Services for Veteran Families (SSVF) Program Application for Supportive Services Grant, Page 4

    4

  • VA Form 10-10072 Supportive Services for Veteran Families (SSVF) Program Application for Supportive Services Grant, Page 5

    5

  • VA Form 10-10072 Supportive Services for Veteran Families (SSVF) Program Application for Supportive Services Grant, Page 6

    6

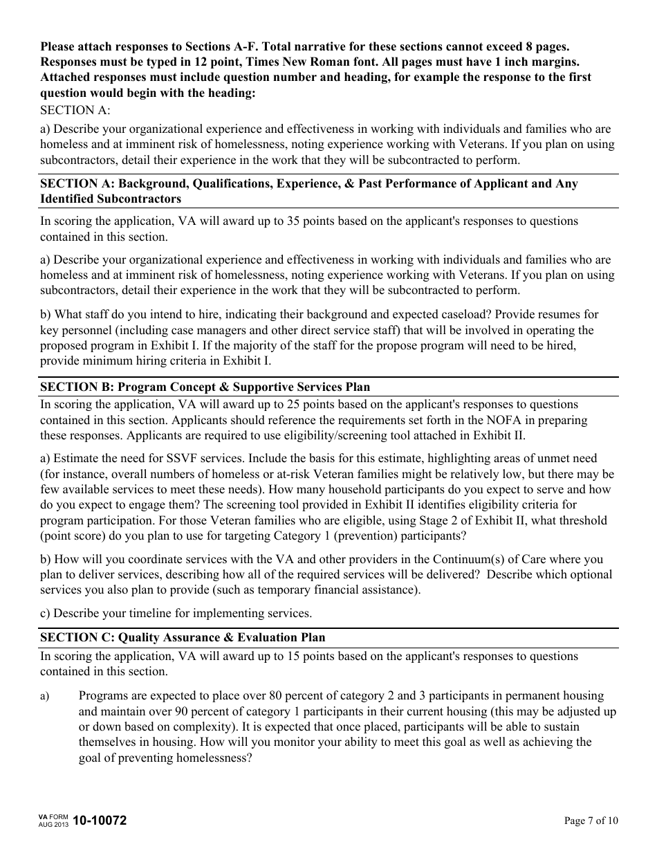
  • VA Form 10-10072 Supportive Services for Veteran Families (SSVF) Program Application for Supportive Services Grant, Page 7

    7

  • VA Form 10-10072 Supportive Services for Veteran Families (SSVF) Program Application for Supportive Services Grant, Page 8

    8

  • VA Form 10-10072 Supportive Services for Veteran Families (SSVF) Program Application for Supportive Services Grant, Page 9

    9

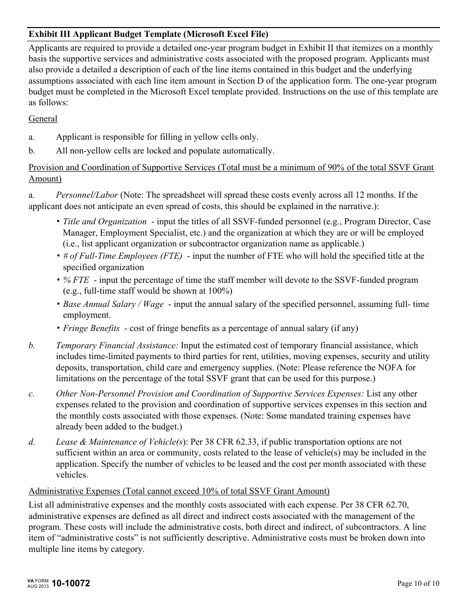
  • VA Form 10-10072 Supportive Services for Veteran Families (SSVF) Program Application for Supportive Services Grant, Page 10

    10

  • VA Form 10-10072 Supportive Services for Veteran Families (SSVF) Program Application for Supportive Services Grant, Page 1
  • VA Form 10-10072 Supportive Services for Veteran Families (SSVF) Program Application for Supportive Services Grant, Page 2
  • VA Form 10-10072 Supportive Services for Veteran Families (SSVF) Program Application for Supportive Services Grant, Page 3
  • VA Form 10-10072 Supportive Services for Veteran Families (SSVF) Program Application for Supportive Services Grant, Page 4
  • VA Form 10-10072 Supportive Services for Veteran Families (SSVF) Program Application for Supportive Services Grant, Page 5
  • VA Form 10-10072 Supportive Services for Veteran Families (SSVF) Program Application for Supportive Services Grant, Page 6
  • VA Form 10-10072 Supportive Services for Veteran Families (SSVF) Program Application for Supportive Services Grant, Page 7
  • VA Form 10-10072 Supportive Services for Veteran Families (SSVF) Program Application for Supportive Services Grant, Page 8
  • VA Form 10-10072 Supportive Services for Veteran Families (SSVF) Program Application for Supportive Services Grant, Page 9
  • VA Form 10-10072 Supportive Services for Veteran Families (SSVF) Program Application for Supportive Services Grant, Page 10
Prev 1 2 3 4 5 ... 10 Next
ADVERTISEMENT