CBP Form 247 Cost Submission

CBP Form 247 Cost Submission

What Is CBP Form 247?

This is a legal form that was released by the U.S. Department of Homeland Security - Customs and Border Protection on November 1, 2017 and used country-wide. As of today, no separate filing guidelines for the form are provided by the issuing department.

FAQ

Q: What is CBP Form 247?
A: CBP Form 247 is a form used by individuals and businesses to submit costs incurred in the importation of goods into the United States.

Q: What is the purpose of CBP Form 247?
A: The purpose of CBP Form 247 is to allow importers to claim deductions for the cost of importing goods, such as freight charges, insurance fees, and customs duties.

Q: Who needs to file CBP Form 247?
A: Importers who want to claim deductions for the cost of importing goods need to file CBP Form 247.

Q: How do I fill out CBP Form 247?
A: To fill out CBP Form 247, you need to provide details about the imported goods, the costs incurred, and any supporting documentation. It is recommended to consult with a customs broker or an import specialist to ensure accurate and complete submission.

Q: Are there any fees associated with filing CBP Form 247?
A: There are no fees associated with filing CBP Form 247.

Q: What happens after I submit CBP Form 247?
A: After submitting CBP Form 247, the CBP will review the submitted information and may request additional documentation or clarification. Once the review process is complete, importers will be notified of any approved deductions.

Q: Can I claim deductions for all costs related to importing goods on CBP Form 247?
A: No, not all costs can be claimed as deductions on CBP Form 247. Only certain costs, such as freight charges, insurance fees, and customs duties, are eligible for deductions.

Q: What supporting documentation do I need to provide with CBP Form 247?
A: You may need to provide supporting documentation such as invoices, receipts, bills of lading, and other relevant documents to substantiate the claimed costs on CBP Form 247.

Q: Can I file CBP Form 247 electronically?
A: Yes, CBP Form 247 can be filed electronically through the Automated Commercial Environment (ACE) portal or through a customs broker using the ACE Secure Data Portal.

ADVERTISEMENT

Form Details:

  • Released on November 1, 2017;
  • The latest available edition released by the U.S. Department of Homeland Security - Customs and Border Protection;
  • Easy to use and ready to print;
  • Yours to fill out and keep for your records;
  • Compatible with most PDF-viewing applications;
  • Fill out the form in our online filing application.

Download a fillable version of CBP Form 247 by clicking the link below or browse more documents and templates provided by the U.S. Department of Homeland Security - Customs and Border Protection.

Download CBP Form 247 Cost Submission

4.7 of 5 (66 votes)
  • CBP Form 247 Cost Submission

    1

  • CBP Form 247 Cost Submission, Page 2

    2

  • CBP Form 247 Cost Submission, Page 3

    3

  • CBP Form 247 Cost Submission, Page 4

    4

  • CBP Form 247 Cost Submission, Page 5

    5

  • CBP Form 247 Cost Submission, Page 6

    6

  • CBP Form 247 Cost Submission, Page 7

    7

  • CBP Form 247 Cost Submission, Page 8

    8

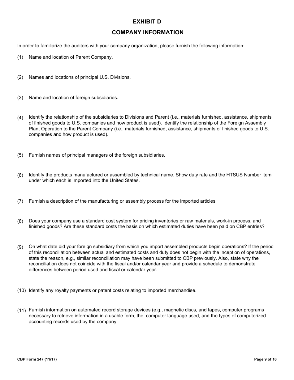
  • CBP Form 247 Cost Submission, Page 9

    9

  • CBP Form 247 Cost Submission, Page 10

    10

  • CBP Form 247 Cost Submission, Page 1
  • CBP Form 247 Cost Submission, Page 2
  • CBP Form 247 Cost Submission, Page 3
  • CBP Form 247 Cost Submission, Page 4
  • CBP Form 247 Cost Submission, Page 5
  • CBP Form 247 Cost Submission, Page 6
  • CBP Form 247 Cost Submission, Page 7
  • CBP Form 247 Cost Submission, Page 8
  • CBP Form 247 Cost Submission, Page 9
  • CBP Form 247 Cost Submission, Page 10
Prev 1 2 3 4 5 ... 10 Next
ADVERTISEMENT