FCC Form 486 Receipt of Service Confirmation and Children's Internet Protection Act and Technology Plan Certification Form

FCC Form 486 Receipt of Service Confirmation and Children's Internet Protection Act and Technology Plan Certification Form

What Is FCC Form 486?

This is a legal form that was released by the Federal Communications Commission on December 1, 2013 and used country-wide. Check the official instructions before completing and submitting the form.

FAQ

Q: What is FCC Form 486?
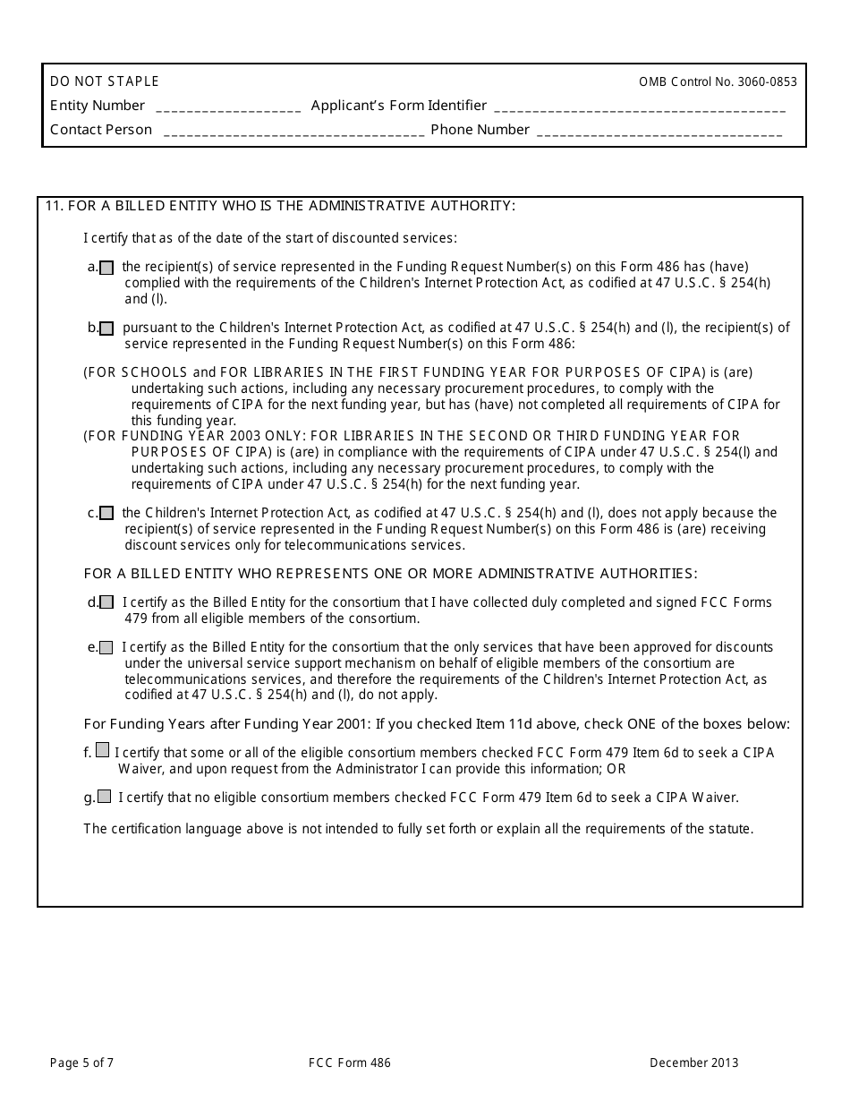
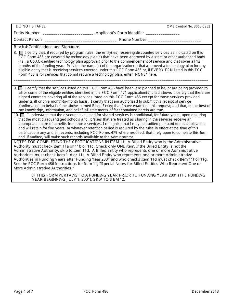
A: FCC Form 486 is a document used to confirm receipt of services related to the Children's Internet Protection Act (CIPA) and to certify the completion of a technology plan.

Q: What is a technology plan?
A: A technology plan is a document that outlines how schools and libraries will use technology to enhance education and promote internet safety.

Q: Why is it important to complete FCC Form 486?
A: Completing FCC Form 486 is important as it confirms the receipt of services related to CIPA compliance and certifies that a technology plan has been implemented.

Q: Who needs to complete FCC Form 486?
A: Schools and libraries that receive discounted telecommunications services under the FCC's E-Rate program need to complete FCC Form 486.

Q: What information is required on FCC Form 486?
A: FCC Form 486 requires information about the service provider, the services received, the date of service initiation, and a certification of CIPA compliance and technology plan completion.

ADVERTISEMENT

Form Details:

  • Released on December 1, 2013;
  • The latest available edition released by the Federal Communications Commission;
  • Easy to use and ready to print;
  • Yours to fill out and keep for your records;
  • Compatible with most PDF-viewing applications;
  • Fill out the form in our online filing application.

Download a printable version of FCC Form 486 by clicking the link below or browse more documents and templates provided by the Federal Communications Commission.

Download FCC Form 486 Receipt of Service Confirmation and Children's Internet Protection Act and Technology Plan Certification Form

4.4 of 5 (70 votes)
  • FCC Form 486 Receipt of Service Confirmation and Children's Internet Protection Act and Technology Plan Certification Form

    1

  • FCC Form 486 Receipt of Service Confirmation and Children's Internet Protection Act and Technology Plan Certification Form, Page 2

    2

  • FCC Form 486 Receipt of Service Confirmation and Children's Internet Protection Act and Technology Plan Certification Form, Page 3

    3

  • FCC Form 486 Receipt of Service Confirmation and Children's Internet Protection Act and Technology Plan Certification Form, Page 4

    4

  • FCC Form 486 Receipt of Service Confirmation and Children's Internet Protection Act and Technology Plan Certification Form, Page 5

    5

  • FCC Form 486 Receipt of Service Confirmation and Children's Internet Protection Act and Technology Plan Certification Form, Page 6

    6

  • FCC Form 486 Receipt of Service Confirmation and Children's Internet Protection Act and Technology Plan Certification Form, Page 7

    7

  • FCC Form 486 Receipt of Service Confirmation and Childrens Internet Protection Act and Technology Plan Certification Form, Page 1
  • FCC Form 486 Receipt of Service Confirmation and Childrens Internet Protection Act and Technology Plan Certification Form, Page 2
  • FCC Form 486 Receipt of Service Confirmation and Childrens Internet Protection Act and Technology Plan Certification Form, Page 3
  • FCC Form 486 Receipt of Service Confirmation and Childrens Internet Protection Act and Technology Plan Certification Form, Page 4
  • FCC Form 486 Receipt of Service Confirmation and Childrens Internet Protection Act and Technology Plan Certification Form, Page 5
  • FCC Form 486 Receipt of Service Confirmation and Childrens Internet Protection Act and Technology Plan Certification Form, Page 6
  • FCC Form 486 Receipt of Service Confirmation and Childrens Internet Protection Act and Technology Plan Certification Form, Page 7
Prev 1 2 3 4 5 ... 7 Next
ADVERTISEMENT