Foreign Limited Liability Company Amendment to Certificate of Authority - Minnesota

Notification Icon This version of the form is not currently in use and is provided for reference only. Download this version of the document for the current year.

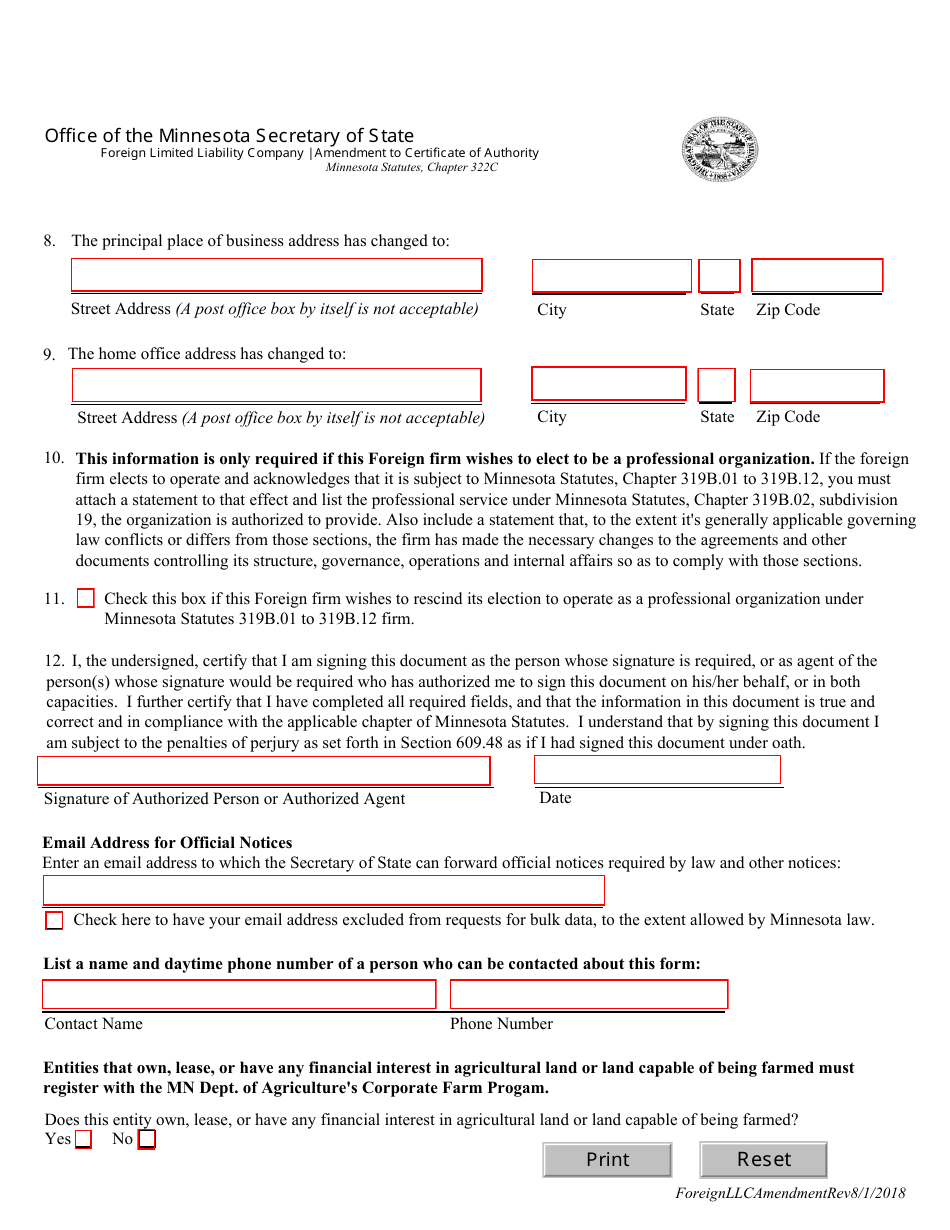
Foreign Limited Liability Company Amendment to Certificate of Authority - Minnesota

Foreign Company Amendment to Certificate of Authority is a legal document that was released by the Minnesota Secretary of State - a government authority operating within Minnesota.

FAQ

Q: What is a Foreign Limited Liability Company Amendment to Certificate of Authority?
A: A Foreign Limited Liability Company Amendment to Certificate of Authority is a document that a foreign LLC must file with the state of Minnesota in order to make changes or updates to its previously filed Certificate of Authority.

Q: When is a Foreign Limited Liability Company Amendment to Certificate of Authority required?
A: A Foreign Limited Liability Company Amendment to Certificate of Authority is required when a foreign LLC needs to change any information that was previously provided in its Certificate of Authority.

Q: What kind of changes can be made with a Foreign Limited Liability Company Amendment to Certificate of Authority?
A: A Foreign Limited Liability Company Amendment to Certificate of Authority can be used to update the registered office address, registered agent information, principal office address, or business activities of a foreign LLC.

Q: How can a Foreign Limited Liability Company Amendment to Certificate of Authority be filed?
A: A Foreign Limited Liability Company Amendment to Certificate of Authority can be filed by completing the appropriate form provided by the state of Minnesota and submitting it along with the required filing fee.

Q: Is there a deadline for filing a Foreign Limited Liability Company Amendment to Certificate of Authority?
A: There is no specific deadline for filing a Foreign Limited Liability Company Amendment to Certificate of Authority. However, it is recommended to file the amendment as soon as the changes are known.

Q: What happens after a Foreign Limited Liability Company Amendment to Certificate of Authority is filed?
A: After a Foreign Limited Liability Company Amendment to Certificate of Authority is filed, the state of Minnesota will review the amendment and update the LLC's records accordingly. The LLC will then be issued an amended Certificate of Authority.

Q: Is there a fee for filing a Foreign Limited Liability Company Amendment to Certificate of Authority?
A: Yes, there is a filing fee that must be paid when submitting a Foreign Limited Liability Company Amendment to Certificate of Authority. The fee amount may vary, so it is best to check with the Minnesota Secretary of State for the current fee schedule.

ADVERTISEMENT

Form Details:

  • Released on August 1, 2018;
  • The latest edition currently provided by the Minnesota Secretary of State;
  • Ready to use and print;
  • Easy to customize;
  • Compatible with most PDF-viewing applications;
  • Fill out the form in our online filing application.

Download a fillable version of the form by clicking the link below or browse more documents and templates provided by the Minnesota Secretary of State.

Download Foreign Limited Liability Company Amendment to Certificate of Authority - Minnesota

4.5 of 5 (17 votes)
  • Foreign Limited Liability Company Amendment to Certificate of Authority - Minnesota

    1

  • Foreign Limited Liability Company Amendment to Certificate of Authority - Minnesota, Page 2

    2

  • Foreign Limited Liability Company Amendment to Certificate of Authority - Minnesota, Page 3

    3

  • Foreign Limited Liability Company Amendment to Certificate of Authority - Minnesota, Page 1
  • Foreign Limited Liability Company Amendment to Certificate of Authority - Minnesota, Page 2
  • Foreign Limited Liability Company Amendment to Certificate of Authority - Minnesota, Page 3
Prev 1 2 3 Next
ADVERTISEMENT