Instructions for Application for Approval as a Nonprofit Budget and Credit Counseling Agency

Instructions for Application for Approval as a Nonprofit Budget and Credit Counseling Agency

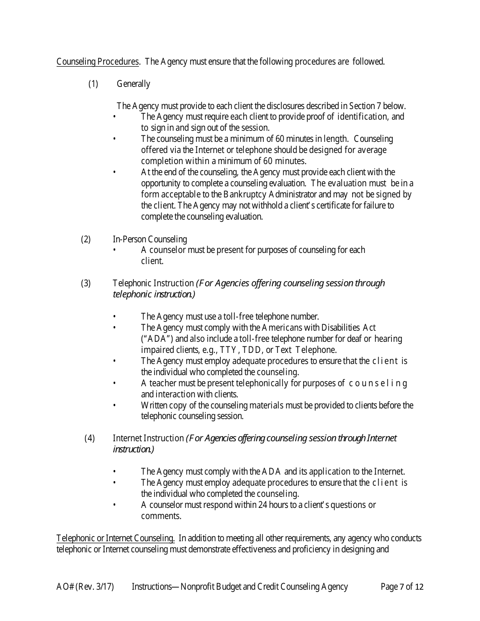
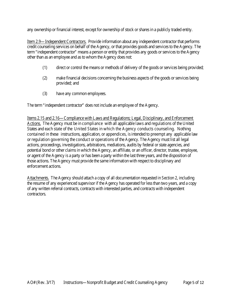
This legal document was released by the United States Bankruptcy Court and contains official instructions for Application for Approval as a Nonprofit Budget and Credit Counseling Agency .

FAQ

Q: What are the requirements for approval as a nonprofit budget and credit counseling agency?
A: To be approved as a nonprofit budget and credit counseling agency, you need to meet certain requirements set by the regulatory organizations.

Q: How can I apply for approval as a nonprofit budget and credit counseling agency?
A: You can apply for approval by submitting a completed application form, along with supporting documents, to the regulatory organizations.

Q: What documents do I need to submit with the application?
A: You need to submit various documents, such as financial statements, organizational charts, and descriptions of counseling services, among others.

Q: What is the purpose of the approval as a nonprofit budget and credit counseling agency?
A: The approval allows you to provide budget and credit counseling services to individuals and families in need.

Q: Are there any fees associated with the application for approval?
A: Yes, there may be application fees that you need to pay when submitting your application.

Q: How long does the approval process take?
A: The approval process typically takes several months, as it involves a thorough review of your application and supporting documents.

Q: What happens after my application is approved?
A: Once your application is approved, you will be issued a certificate or license that allows you to operate as a nonprofit budget and credit counseling agency.

Q: Can my approval be revoked?
A: Yes, your approval can be revoked if you fail to comply with the regulations and requirements set by the regulatory organizations.

ADVERTISEMENT

Instruction Details:

  • These 12-page instructions are available for download in PDF;
  • Released on March 1, 2017 - the latest version provided by the issuing department;
  • Up-to-date, printable, and free to use.

Download your copy of the instructions by clicking the link below or browse more forms, instructions and templates in our online library.

Download Instructions for Application for Approval as a Nonprofit Budget and Credit Counseling Agency

4.5 of 5 (8 votes)
  • Instructions for Application for Approval as a Nonprofit Budget and Credit Counseling Agency

    1

  • Instructions for Application for Approval as a Nonprofit Budget and Credit Counseling Agency, Page 2

    2

  • Instructions for Application for Approval as a Nonprofit Budget and Credit Counseling Agency, Page 3

    3

  • Instructions for Application for Approval as a Nonprofit Budget and Credit Counseling Agency, Page 4

    4

  • Instructions for Application for Approval as a Nonprofit Budget and Credit Counseling Agency, Page 5

    5

  • Instructions for Application for Approval as a Nonprofit Budget and Credit Counseling Agency, Page 6

    6

  • Instructions for Application for Approval as a Nonprofit Budget and Credit Counseling Agency, Page 7

    7

  • Instructions for Application for Approval as a Nonprofit Budget and Credit Counseling Agency, Page 8

    8

  • Instructions for Application for Approval as a Nonprofit Budget and Credit Counseling Agency, Page 9

    9

  • Instructions for Application for Approval as a Nonprofit Budget and Credit Counseling Agency, Page 10

    10

  • Instructions for Application for Approval as a Nonprofit Budget and Credit Counseling Agency, Page 11

    11

  • Instructions for Application for Approval as a Nonprofit Budget and Credit Counseling Agency, Page 12

    12

  • Instructions for Application for Approval as a Nonprofit Budget and Credit Counseling Agency, Page 1
  • Instructions for Application for Approval as a Nonprofit Budget and Credit Counseling Agency, Page 2
  • Instructions for Application for Approval as a Nonprofit Budget and Credit Counseling Agency, Page 3
  • Instructions for Application for Approval as a Nonprofit Budget and Credit Counseling Agency, Page 4
  • Instructions for Application for Approval as a Nonprofit Budget and Credit Counseling Agency, Page 5
  • Instructions for Application for Approval as a Nonprofit Budget and Credit Counseling Agency, Page 6
  • Instructions for Application for Approval as a Nonprofit Budget and Credit Counseling Agency, Page 7
  • Instructions for Application for Approval as a Nonprofit Budget and Credit Counseling Agency, Page 8
  • Instructions for Application for Approval as a Nonprofit Budget and Credit Counseling Agency, Page 9
  • Instructions for Application for Approval as a Nonprofit Budget and Credit Counseling Agency, Page 10
  • Instructions for Application for Approval as a Nonprofit Budget and Credit Counseling Agency, Page 11
  • Instructions for Application for Approval as a Nonprofit Budget and Credit Counseling Agency, Page 12
Prev 1 2 3 4 5 ... 12 Next
ADVERTISEMENT

Related Documents