GSA Form 182X Authorization, Agreement and Certification of Training

GSA Form 182X Authorization, Agreement and Certification of Training

What Is GSA Form 182X?

This is a legal form that was released by the U.S. General Services Administration on August 1, 2014 and used country-wide. As of today, no separate filing guidelines for the form are provided by the issuing department.

FAQ

Q: What is GSA Form 182X?
A: GSA Form 182X Authorization, Agreement and Certification of Training is a document used by the General Services Administration (GSA) in order to authorize, agree to, and certify training activities.

Q: Who uses GSA Form 182X?
A: GSA Form 182X is used by individuals who are seeking authorization for training activities through the GSA.

Q: What is the purpose of GSA Form 182X?
A: The purpose of GSA Form 182X is to obtain authorization and agreement for training activities and to certify that the training will be beneficial and in compliance with relevant policies and regulations.

Q: How do I complete GSA Form 182X?
A: To complete GSA Form 182X, you will need to provide information about the training activity, including the purpose, location, and duration of the training. You will also need to certify that you have read and understand the GSA's policies and regulations regarding training.

ADVERTISEMENT

Form Details:

  • Released on August 1, 2014;
  • The latest available edition released by the U.S. General Services Administration;
  • Easy to use and ready to print;
  • Yours to fill out and keep for your records;
  • Compatible with most PDF-viewing applications;
  • Fill out the form in our online filing application.

Download a fillable version of GSA Form 182X by clicking the link below or browse more documents and templates provided by the U.S. General Services Administration.

Download GSA Form 182X Authorization, Agreement and Certification of Training

4.5 of 5 (63 votes)
  • GSA Form 182X Authorization, Agreement and Certification of Training

    1

  • GSA Form 182X Authorization, Agreement and Certification of Training, Page 2

    2

  • GSA Form 182X Authorization, Agreement and Certification of Training, Page 3

    3

  • GSA Form 182X Authorization, Agreement and Certification of Training, Page 4

    4

  • GSA Form 182X Authorization, Agreement and Certification of Training, Page 5

    5

  • GSA Form 182X Authorization, Agreement and Certification of Training, Page 6

    6

  • GSA Form 182X Authorization, Agreement and Certification of Training, Page 7

    7

  • GSA Form 182X Authorization, Agreement and Certification of Training, Page 8

    8

  • GSA Form 182X Authorization, Agreement and Certification of Training, Page 9

    9

  • GSA Form 182X Authorization, Agreement and Certification of Training, Page 10

    10

  • GSA Form 182X Authorization, Agreement and Certification of Training, Page 11

    11

  • GSA Form 182X Authorization, Agreement and Certification of Training, Page 12

    12

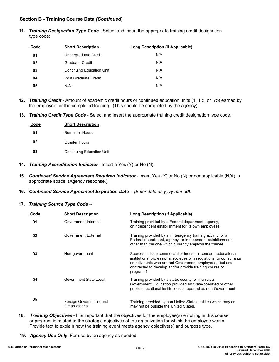
  • GSA Form 182X Authorization, Agreement and Certification of Training, Page 13

    13

  • GSA Form 182X Authorization, Agreement and Certification of Training, Page 14

    14

  • GSA Form 182X Authorization, Agreement and Certification of Training, Page 1
  • GSA Form 182X Authorization, Agreement and Certification of Training, Page 2
  • GSA Form 182X Authorization, Agreement and Certification of Training, Page 3
  • GSA Form 182X Authorization, Agreement and Certification of Training, Page 4
  • GSA Form 182X Authorization, Agreement and Certification of Training, Page 5
  • GSA Form 182X Authorization, Agreement and Certification of Training, Page 6
  • GSA Form 182X Authorization, Agreement and Certification of Training, Page 7
  • GSA Form 182X Authorization, Agreement and Certification of Training, Page 8
  • GSA Form 182X Authorization, Agreement and Certification of Training, Page 9
  • GSA Form 182X Authorization, Agreement and Certification of Training, Page 10
  • GSA Form 182X Authorization, Agreement and Certification of Training, Page 11
  • GSA Form 182X Authorization, Agreement and Certification of Training, Page 12
  • GSA Form 182X Authorization, Agreement and Certification of Training, Page 13
  • GSA Form 182X Authorization, Agreement and Certification of Training, Page 14
Prev 1 2 3 4 5 ... 14 Next
ADVERTISEMENT