Form TRS019 Election / Waiver of Supplemental Contributions - Alaska

Form TRS019 Election / Waiver of Supplemental Contributions - Alaska

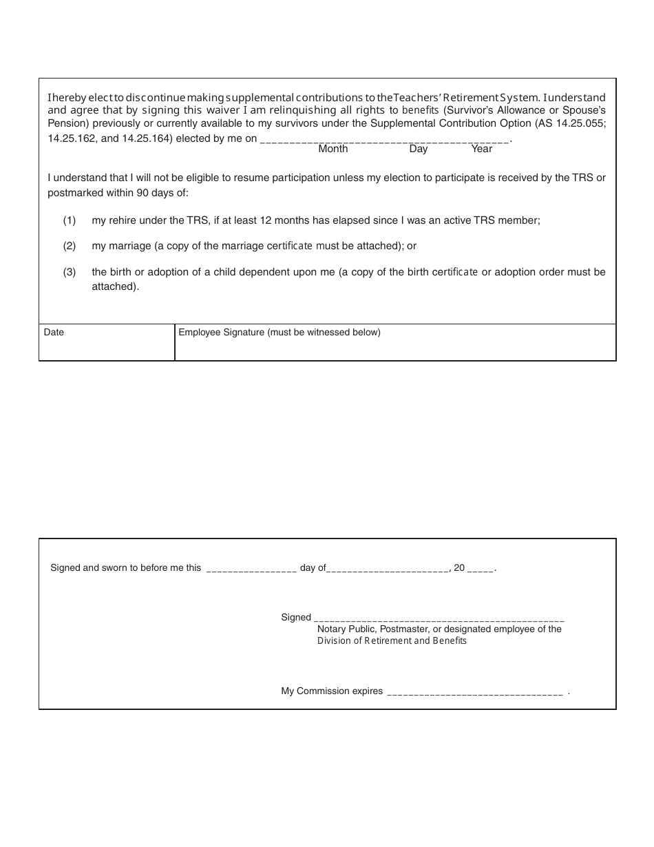
What Is Form TRS019?

This is a legal form that was released by the Alaska Department of Administration - a government authority operating within Alaska. As of today, no separate filing guidelines for the form are provided by the issuing department.

FAQ

Q: What is Form TRS019?
A: Form TRS019 is the Election/Waiver of Supplemental Contributions form for the Alaska Teachers' Retirement System (TRS).

Q: Who needs to complete Form TRS019?
A: This form needs to be completed by Alaska teachers who want to elect or waive supplemental contributions to their retirement accounts.

Q: What are supplemental contributions?
A: Supplemental contributions are additional contributions made by teachers to their retirement accounts, in addition to the required contributions.

Q: Why would someone elect to make supplemental contributions?
A: Teachers may elect to make supplemental contributions to increase the value of their retirement accounts and potentially receive higher retirement benefits.

Q: Can someone choose to waive supplemental contributions?
A: Yes, teachers have the option to waive making supplemental contributions if they do not wish to make additional contributions to their retirement accounts.

Q: Are there any deadlines for submitting Form TRS019?
A: Please refer to the instructions on Form TRS019 or contact the TRS administration for any deadlines associated with submitting the form.

Q: What happens after Form TRS019 is submitted?
A: Once Form TRS019 is submitted, the TRS administration will process the elections or waivers of supplemental contributions according to the teacher's instructions.

ADVERTISEMENT

Form Details:

  • Released on January 1, 2012;
  • The latest edition provided by the Alaska Department of Administration;
  • Easy to use and ready to print;
  • Quick to customize;
  • Compatible with most PDF-viewing applications;
  • Fill out the form in our online filing application.

Download a fillable version of Form TRS019 by clicking the link below or browse more documents and templates provided by the Alaska Department of Administration.

Download Form TRS019 Election / Waiver of Supplemental Contributions - Alaska

4.6 of 5 (63 votes)
  • Form TRS019 Election/Waiver of Supplemental Contributions - Alaska

    1

  • Form TRS019 Election/Waiver of Supplemental Contributions - Alaska, Page 2

    2

  • Form TRS019 Election / Waiver of Supplemental Contributions - Alaska, Page 1
  • Form TRS019 Election / Waiver of Supplemental Contributions - Alaska, Page 2
Prev 1 2 Next
ADVERTISEMENT