Form PG-400 Order Appointing Full Guardian With Powers of Conservator - Alaska

Notification Icon This version of the form is not currently in use and is provided for reference only. Download this version of Form PG-400 for the current year.

Form PG-400 Order Appointing Full Guardian With Powers of Conservator - Alaska

What Is Form PG-400?

This is a legal form that was released by the Alaska Superior Court - a government authority operating within Alaska. As of today, no separate filing guidelines for the form are provided by the issuing department.

FAQ

Q: What is Form PG-400?
A: Form PG-400 is an order appointing a full guardian with powers of conservator in Alaska.

Q: What does Form PG-400 do?
A: Form PG-400 appoints a full guardian, who also has the powers of a conservator, to make decisions and handle the affairs of an incapacitated person.

Q: Who can use Form PG-400?
A: Form PG-400 can be used by someone seeking to be appointed as a full guardian with powers of conservator for an incapacitated person in Alaska.

Q: Is there a cost for filing Form PG-400?
A: Yes, there may be filing fees associated with submitting Form PG-400, but the amount depends on the specific county in Alaska where it is being filed.

ADVERTISEMENT

Form Details:

  • Released on February 1, 2017;
  • The latest edition provided by the Alaska Superior Court;
  • Easy to use and ready to print;
  • Quick to customize;
  • Compatible with most PDF-viewing applications;
  • Fill out the form in our online filing application.

Download a printable version of Form PG-400 by clicking the link below or browse more documents and templates provided by the Alaska Superior Court.

Download Form PG-400 Order Appointing Full Guardian With Powers of Conservator - Alaska

4.8 of 5 (78 votes)
  • Form PG-400 Order Appointing Full Guardian With Powers of Conservator - Alaska

    1

  • Form PG-400 Order Appointing Full Guardian With Powers of Conservator - Alaska, Page 2

    2

  • Form PG-400 Order Appointing Full Guardian With Powers of Conservator - Alaska, Page 3

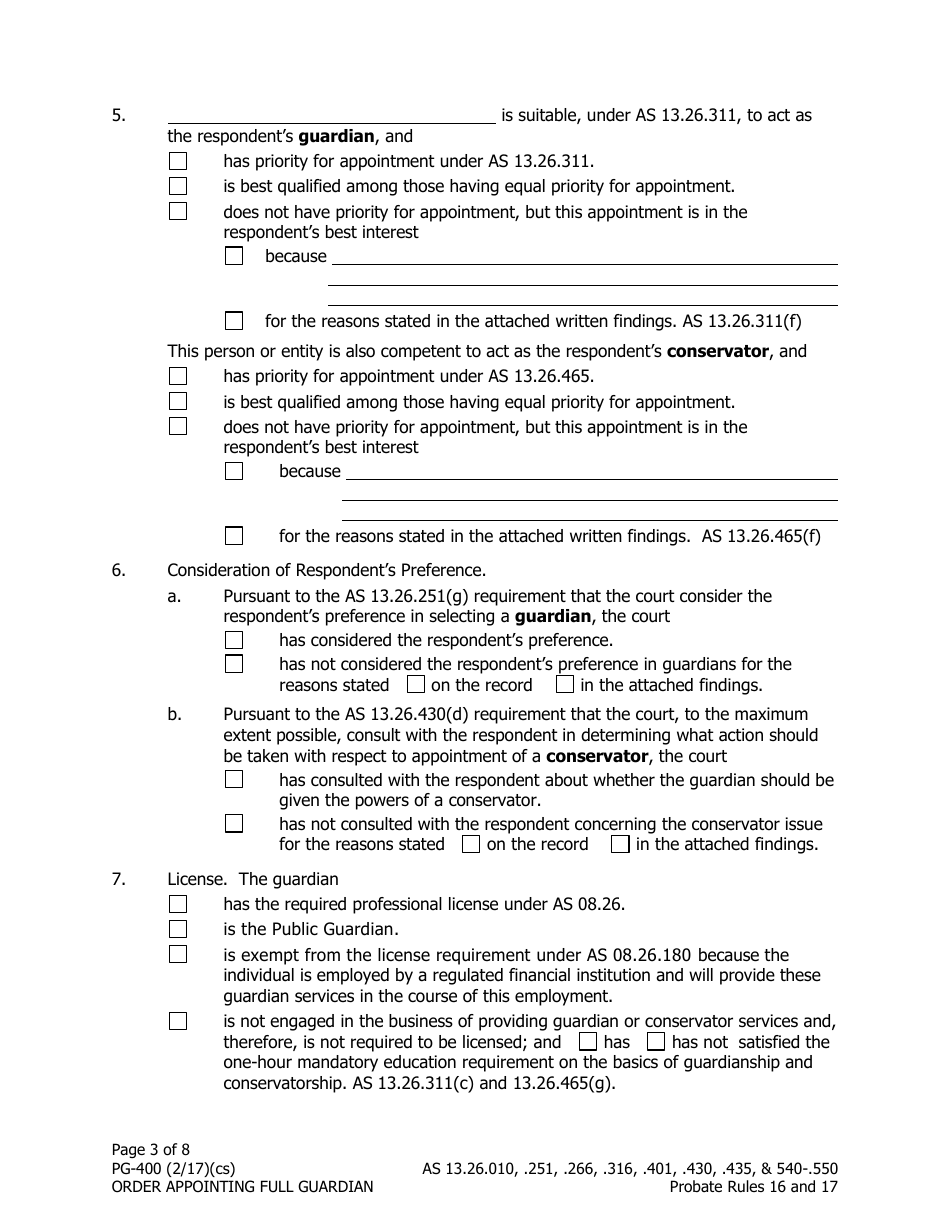
    3

  • Form PG-400 Order Appointing Full Guardian With Powers of Conservator - Alaska, Page 4

    4

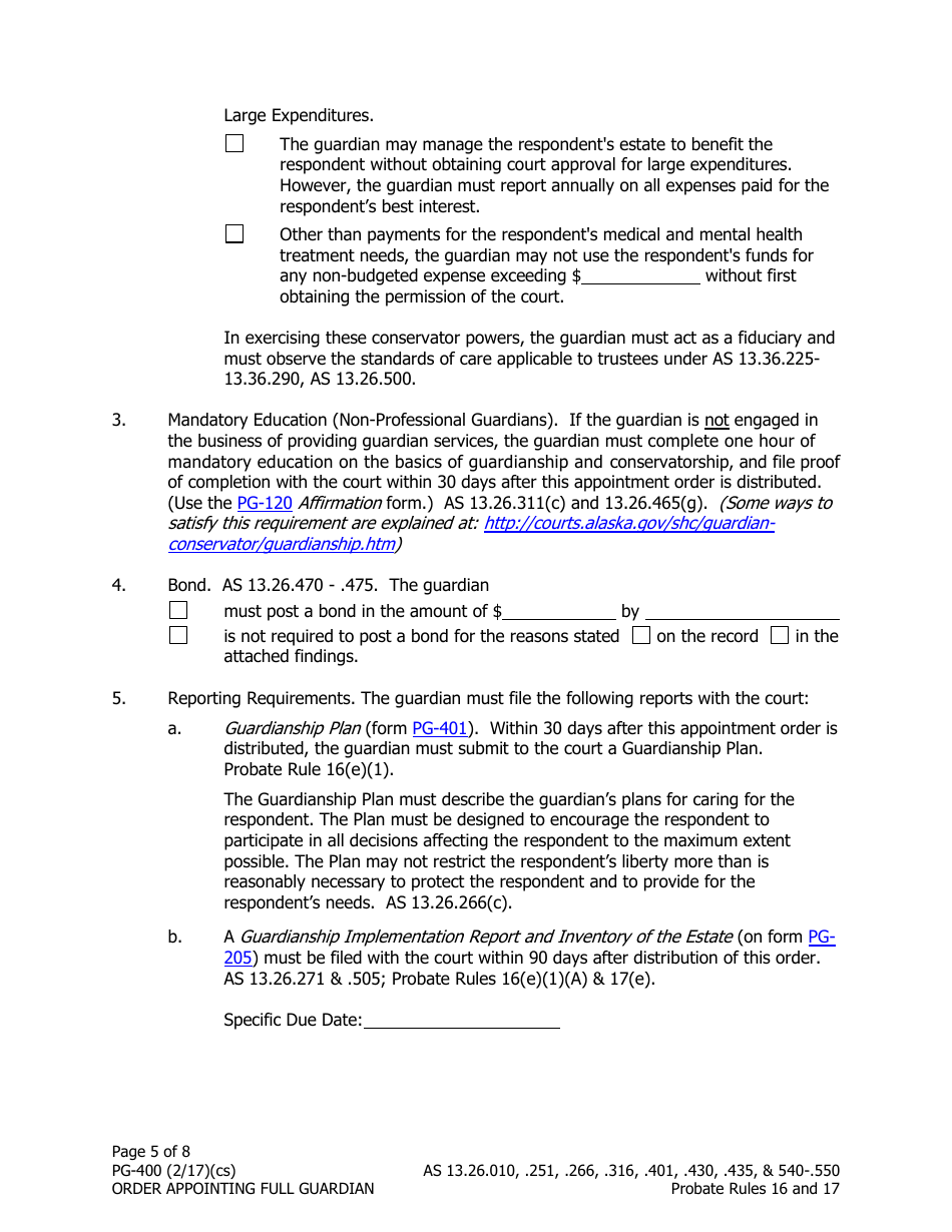
  • Form PG-400 Order Appointing Full Guardian With Powers of Conservator - Alaska, Page 5

    5

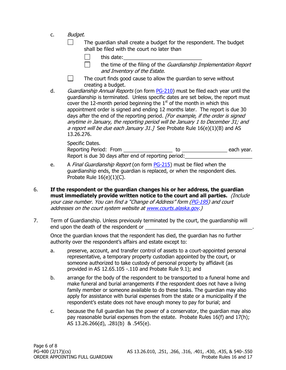
  • Form PG-400 Order Appointing Full Guardian With Powers of Conservator - Alaska, Page 6

    6

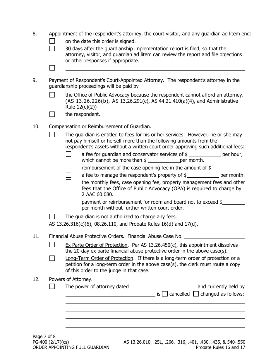
  • Form PG-400 Order Appointing Full Guardian With Powers of Conservator - Alaska, Page 7

    7

  • Form PG-400 Order Appointing Full Guardian With Powers of Conservator - Alaska, Page 8

    8

  • Form PG-400 Order Appointing Full Guardian With Powers of Conservator - Alaska, Page 1
  • Form PG-400 Order Appointing Full Guardian With Powers of Conservator - Alaska, Page 2
  • Form PG-400 Order Appointing Full Guardian With Powers of Conservator - Alaska, Page 3
  • Form PG-400 Order Appointing Full Guardian With Powers of Conservator - Alaska, Page 4
  • Form PG-400 Order Appointing Full Guardian With Powers of Conservator - Alaska, Page 5
  • Form PG-400 Order Appointing Full Guardian With Powers of Conservator - Alaska, Page 6
  • Form PG-400 Order Appointing Full Guardian With Powers of Conservator - Alaska, Page 7
  • Form PG-400 Order Appointing Full Guardian With Powers of Conservator - Alaska, Page 8
Prev 1 2 3 4 5 ... 8 Next
ADVERTISEMENT