Statement of Support - Delaware

Statement of Support - Delaware

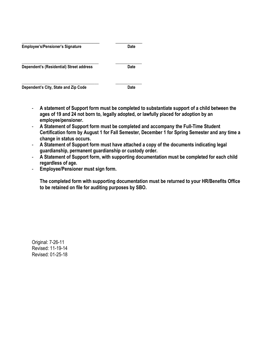
Statement of Support is a legal document that was released by the Delaware Department of Human Resources - a government authority operating within Delaware.

FAQ

Q: What is the Statement of Support in Delaware?
A: The Statement of Support is a document that shows support for a cause or an organization in Delaware.

Q: Who can sign the Statement of Support in Delaware?
A: Anyone who wants to show their support can sign the Statement of Support in Delaware.

Q: Do I need to pay to sign the Statement of Support in Delaware?
A: No, signing the Statement of Support is usually free of charge in Delaware.

Q: Can I sign the Statement of Support more than once in Delaware?
A: It depends on the organization. Some may allow multiple signatures, while others may only allow one signature per person in Delaware.

Q: Is the Statement of Support legally binding in Delaware?
A: No, the Statement of Support is generally not a legally binding document in Delaware. It is more of a symbolic gesture of support.

ADVERTISEMENT

Form Details:

  • Released on January 25, 2018;
  • The latest edition currently provided by the Delaware Department of Human Resources;
  • Ready to use and print;
  • Easy to customize;
  • Compatible with most PDF-viewing applications;
  • Fill out the form in our online filing application.

Download a printable version of the form by clicking the link below or browse more documents and templates provided by the Delaware Department of Human Resources.

Download Statement of Support - Delaware

4.8 of 5 (73 votes)
  • Statement of Support - Delaware

    1

  • Statement of Support - Delaware, Page 2

    2

  • Statement of Support - Delaware, Page 1
  • Statement of Support - Delaware, Page 2
Prev 1 2 Next
ADVERTISEMENT