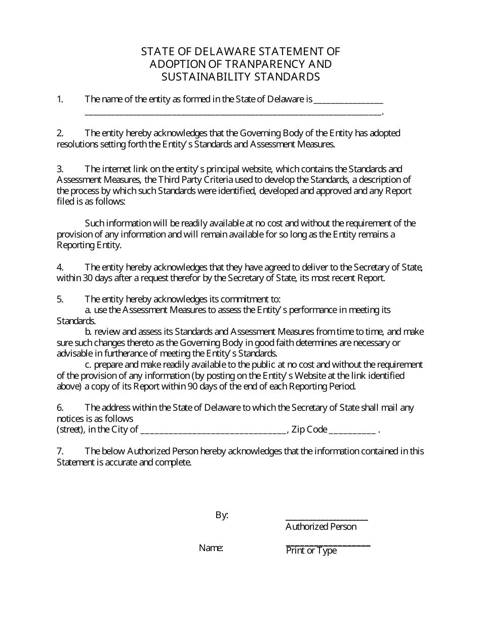
Statement of Adoption of Transparency and Sustainability Standards - Delaware

Notification Icon This version of the form is not currently in use and is provided for reference only. Download this version of the document for the current year.

Statement of Adoption of Transparency and Sustainability Standards - Delaware

Statement of Adoption of Transparency and Sustainability Standards is a legal document that was released by the Delaware Department of State - a government authority operating within Delaware.

FAQ

Q: What is the Statement of Adoption of Transparency and Sustainability Standards?
A: The Statement of Adoption of Transparency and Sustainability Standards is a document that outlines the commitment of a company or organization to uphold transparency and sustainability standards.

Q: Who adopts the Statement of Adoption of Transparency and Sustainability Standards?
A: Companies and organizations can adopt the Statement of Adoption of Transparency and Sustainability Standards as a way to demonstrate their dedication to transparency and sustainability.

Q: What is the purpose of adopting transparency and sustainability standards?
A: The purpose of adopting transparency and sustainability standards is to promote accountability, ethical practices, and environmental responsibility.

Q: Why is it important to uphold transparency and sustainability standards?
A: Upholding transparency and sustainability standards helps to build trust with stakeholders, improve corporate governance, and protect the environment.

Q: Are there any legal requirements to adopt transparency and sustainability standards?
A: There are no specific legal requirements to adopt transparency and sustainability standards, but companies may choose to voluntarily adopt them to meet societal expectations and enhance their reputation.

Q: Can adopting transparency and sustainability standards benefit a company or organization?
A: Yes, adopting transparency and sustainability standards can benefit a company or organization by attracting socially conscious investors, consumers, and employees, and by reducing risks associated with non-compliance or unethical practices.

ADVERTISEMENT

Form Details:

  • Released on October 1, 2018;
  • The latest edition currently provided by the Delaware Department of State;
  • Ready to use and print;
  • Easy to customize;
  • Compatible with most PDF-viewing applications;
  • Fill out the form in our online filing application.

Download a fillable version of the form by clicking the link below or browse more documents and templates provided by the Delaware Department of State.

Download Statement of Adoption of Transparency and Sustainability Standards - Delaware

4.7 of 5 (11 votes)
  • Statement of Adoption of Transparency and Sustainability Standards - Delaware

    1

  • Statement of Adoption of Transparency and Sustainability Standards - Delaware, Page 2

    2

  • Statement of Adoption of Transparency and Sustainability Standards - Delaware, Page 3

    3

  • Statement of Adoption of Transparency and Sustainability Standards - Delaware, Page 1
  • Statement of Adoption of Transparency and Sustainability Standards - Delaware, Page 2
  • Statement of Adoption of Transparency and Sustainability Standards - Delaware, Page 3
Prev 1 2 3 Next
ADVERTISEMENT