School Food Authority on-Site Review Checklist - Kentucky

School Food Authority on-Site Review Checklist - Kentucky

School Food Authority on-Site Review Checklist is a legal document that was released by the Kentucky Department of Education - a government authority operating within Kentucky.

FAQ

Q: What is the purpose of the School Food Authority on-Site Review Checklist in Kentucky?
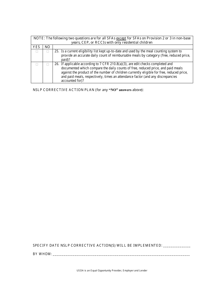
A: The purpose of the School Food Authority on-Site Review Checklist in Kentucky is to assess the implementation of the National School Lunch Program in schools.

Q: What does the School Food Authority on-Site Review Checklist assess?
A: The School Food Authority on-Site Review Checklist assesses various aspects of the National School Lunch Program, including menu planning, meal quality, food safety, and program management.

Q: Who conducts the School Food Authority on-Site Review Checklist in Kentucky?
A: The School Food Authority on-Site Review Checklist in Kentucky is conducted by representatives from the Kentucky Department of Education.

Q: What are some areas that are evaluated during the on-site review?
A: Some areas that are evaluated during the on-site review include meal pattern requirements, food preparation and service, recordkeeping, financial management, and compliance with federal regulations.

Q: What happens if a School Food Authority fails to meet the requirements during the on-site review?
A: If a School Food Authority fails to meet the requirements during the on-site review, they may be subject to corrective actions and may have to develop and implement a corrective action plan.

ADVERTISEMENT

Form Details:

  • The latest edition currently provided by the Kentucky Department of Education;
  • Ready to use and print;
  • Easy to customize;
  • Compatible with most PDF-viewing applications;
  • Fill out the form in our online filing application.

Download a printable version of the form by clicking the link below or browse more documents and templates provided by the Kentucky Department of Education.

Download School Food Authority on-Site Review Checklist - Kentucky

4.5 of 5 (72 votes)
  • School Food Authority on-Site Review Checklist - Kentucky

    1

  • School Food Authority on-Site Review Checklist - Kentucky, Page 2

    2

  • School Food Authority on-Site Review Checklist - Kentucky, Page 3

    3

  • School Food Authority on-Site Review Checklist - Kentucky, Page 4

    4

  • School Food Authority on-Site Review Checklist - Kentucky, Page 5

    5

  • School Food Authority on-Site Review Checklist - Kentucky, Page 6

    6

  • School Food Authority on-Site Review Checklist - Kentucky, Page 7

    7

  • School Food Authority on-Site Review Checklist - Kentucky, Page 8

    8

  • School Food Authority on-Site Review Checklist - Kentucky, Page 1
  • School Food Authority on-Site Review Checklist - Kentucky, Page 2
  • School Food Authority on-Site Review Checklist - Kentucky, Page 3
  • School Food Authority on-Site Review Checklist - Kentucky, Page 4
  • School Food Authority on-Site Review Checklist - Kentucky, Page 5
  • School Food Authority on-Site Review Checklist - Kentucky, Page 6
  • School Food Authority on-Site Review Checklist - Kentucky, Page 7
  • School Food Authority on-Site Review Checklist - Kentucky, Page 8
Prev 1 2 3 4 5 ... 8 Next
ADVERTISEMENT