Form HC-61 Health Care Application for Self-insurance Authorization - Hawaii

Form HC-61 Health Care Application for Self-insurance Authorization - Hawaii

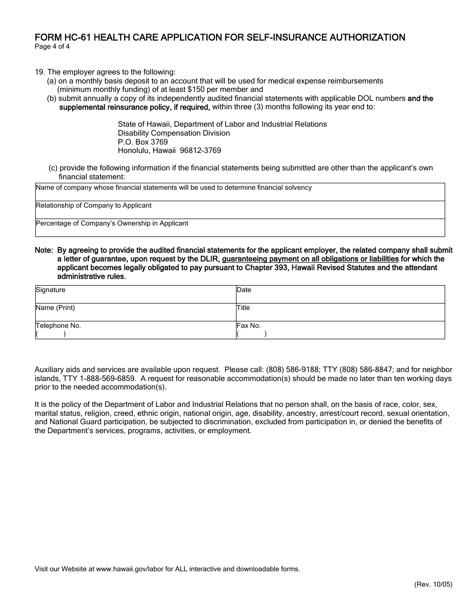
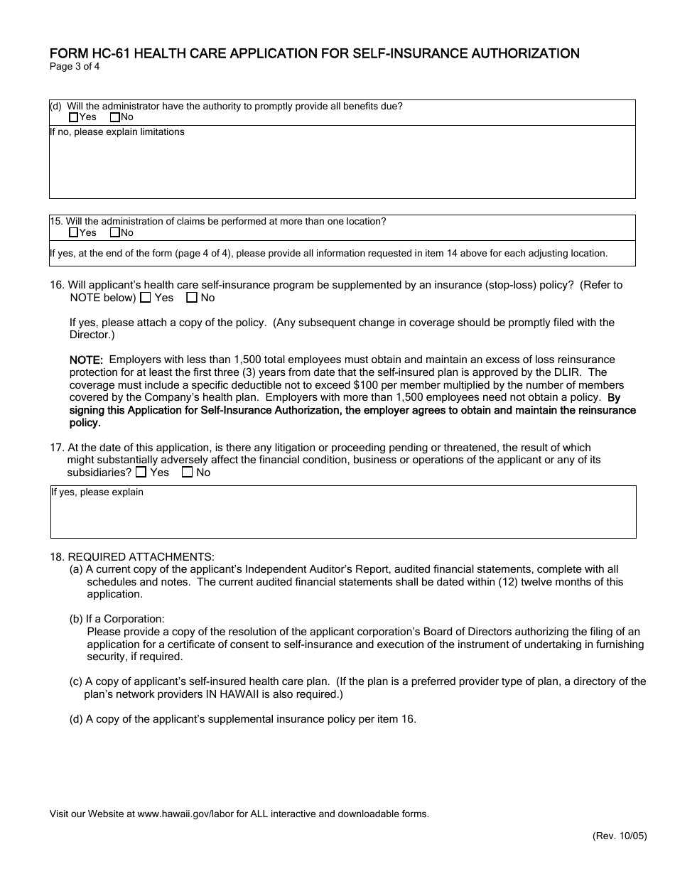
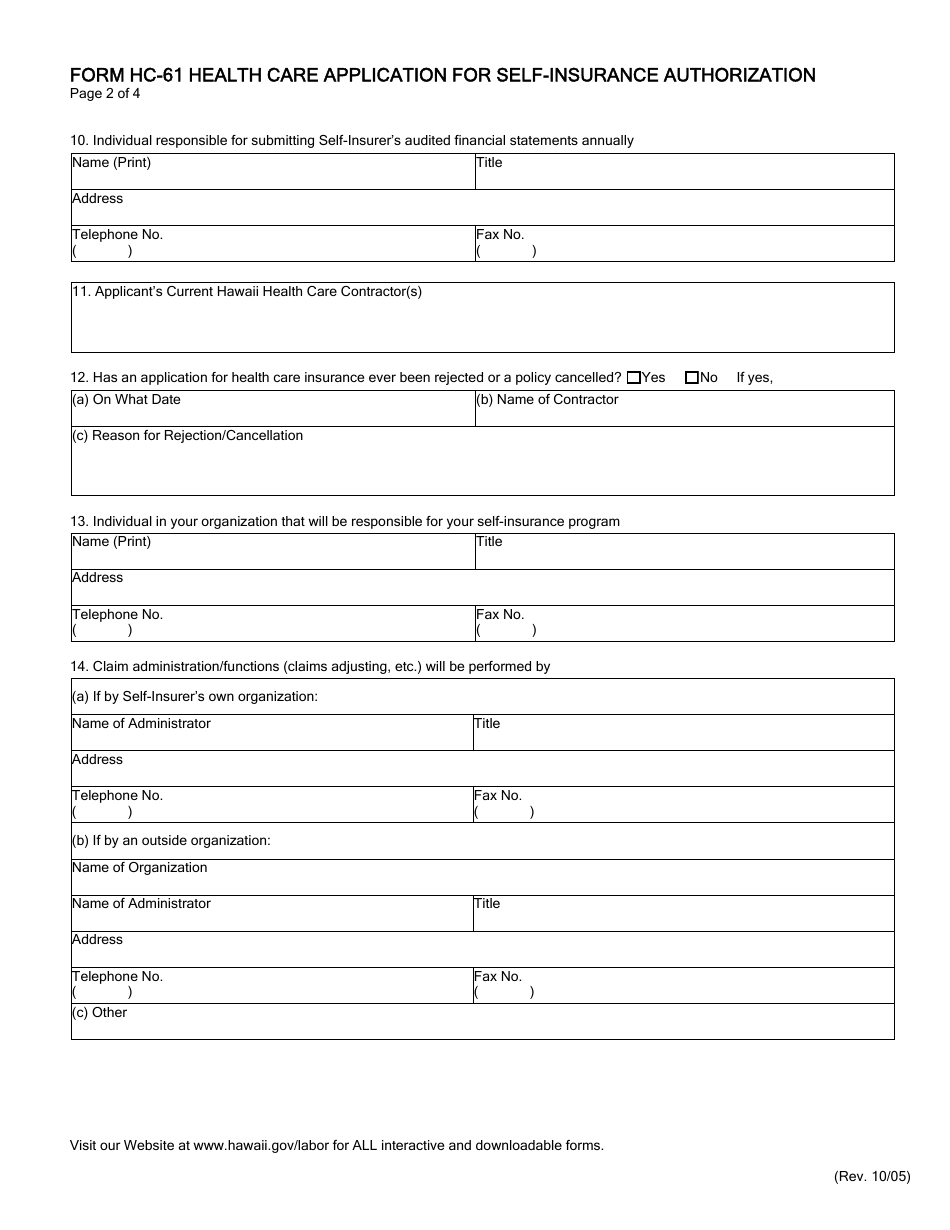
What Is Form HC-61?

This is a legal form that was released by the Hawaii Department of Labor & Industrial Relations - a government authority operating within Hawaii. As of today, no separate filing guidelines for the form are provided by the issuing department.

FAQ

Q: What is Form HC-61?
A: Form HC-61 is the Health Care Application for Self-insurance Authorization in Hawaii.

Q: What is the purpose of Form HC-61?
A: The purpose of Form HC-61 is to apply for self-insurance authorization for health care coverage in Hawaii.

Q: Who needs to fill out Form HC-61?
A: Any entity or employer seeking self-insurance authorization for health care coverage in Hawaii needs to fill out Form HC-61.

Q: What information do I need to provide on Form HC-61?
A: You need to provide information about the entity or employer, the group or individual health plan, financial information, and proof of compliance with the Hawaii Revised Statutes.

Q: How can I submit Form HC-61?
A: Form HC-61 can be submitted by mail to the Hawaii Department of Commerce and Consumer Affairs, Insurance Division.

Q: Is there a deadline for submitting Form HC-61?
A: There is no specific deadline mentioned for submitting Form HC-61. It is recommended to submit the form well in advance.

Q: Can I make changes to Form HC-61 after submission?
A: No, changes cannot be made to Form HC-61 after submission. If changes are required, a new form should be submitted.

Q: Who should I contact for more information about Form HC-61?
A: For more information about Form HC-61, you can contact the Hawaii Department of Commerce and Consumer Affairs, Insurance Division.

ADVERTISEMENT

Form Details:

  • Released on October 1, 2005;
  • The latest edition provided by the Hawaii Department of Labor & Industrial Relations;
  • Easy to use and ready to print;
  • Quick to customize;
  • Compatible with most PDF-viewing applications;
  • Fill out the form in our online filing application.

Download a fillable version of Form HC-61 by clicking the link below or browse more documents and templates provided by the Hawaii Department of Labor & Industrial Relations.

Download Form HC-61 Health Care Application for Self-insurance Authorization - Hawaii

4.7 of 5 (16 votes)
  • Form HC-61 Health Care Application for Self-insurance Authorization - Hawaii

    1

  • Form HC-61 Health Care Application for Self-insurance Authorization - Hawaii, Page 2

    2

  • Form HC-61 Health Care Application for Self-insurance Authorization - Hawaii, Page 3

    3

  • Form HC-61 Health Care Application for Self-insurance Authorization - Hawaii, Page 4

    4

  • Form HC-61 Health Care Application for Self-insurance Authorization - Hawaii, Page 5

    5

  • Form HC-61 Health Care Application for Self-insurance Authorization - Hawaii, Page 1
  • Form HC-61 Health Care Application for Self-insurance Authorization - Hawaii, Page 2
  • Form HC-61 Health Care Application for Self-insurance Authorization - Hawaii, Page 3
  • Form HC-61 Health Care Application for Self-insurance Authorization - Hawaii, Page 4
  • Form HC-61 Health Care Application for Self-insurance Authorization - Hawaii, Page 5
Prev 1 2 3 4 5 Next
ADVERTISEMENT

Related Documents