Form CFS2025 Home Safety Checklist for Intact and Permanency Workers - Illinois

Notification Icon This version of the form is not currently in use and is provided for reference only. Download this version of Form CFS2025 for the current year.

Form CFS2025 Home Safety Checklist for Intact and Permanency Workers - Illinois

What Is Form CFS2025?

This is a legal form that was released by the Illinois Department of Children and Family Services - a government authority operating within Illinois. As of today, no separate filing guidelines for the form are provided by the issuing department.

FAQ

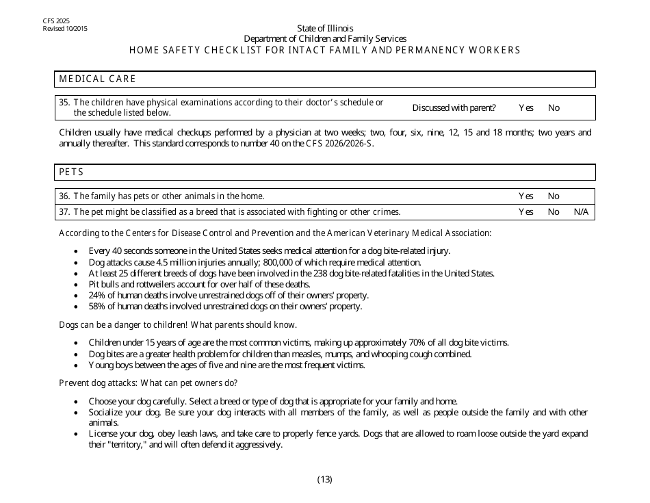
Q: What is the CFS2025 Home Safety Checklist?
A: The CFS2025 Home Safety Checklist is a tool used by Intact and Permanency Workers in Illinois to assess the safety of a home.

Q: Who uses the CFS2025 Home Safety Checklist?
A: Intact and Permanency Workers in Illinois use the CFS2025 Home Safety Checklist.

Q: What is the purpose of the CFS2025 Home Safety Checklist?
A: The purpose of the CFS2025 Home Safety Checklist is to ensure the safety of children in their home environment.

Q: What does the CFS2025 Home Safety Checklist assess?
A: The CFS2025 Home Safety Checklist assesses various aspects of home safety, including fire safety, electrical safety, and general safety hazards.

Q: How is the CFS2025 Home Safety Checklist used?
A: Intact and Permanency Workers use the CFS2025 Home Safety Checklist to conduct home visits and assess the safety of the home environment.

Q: What happens if the CFS2025 Home Safety Checklist identifies safety concerns?
A: If the CFS2025 Home Safety Checklist identifies safety concerns, appropriate measures will be taken to address those concerns and ensure the safety of the children.

Q: Is the CFS2025 Home Safety Checklist specific to Illinois?
A: Yes, the CFS2025 Home Safety Checklist is specific to Intact and Permanency Workers in Illinois.

ADVERTISEMENT

Form Details:

  • Released on October 1, 2015;
  • The latest edition provided by the Illinois Department of Children and Family Services;
  • Easy to use and ready to print;
  • Quick to customize;
  • Compatible with most PDF-viewing applications;
  • Fill out the form in our online filing application.

Download a printable version of Form CFS2025 by clicking the link below or browse more documents and templates provided by the Illinois Department of Children and Family Services.

Download Form CFS2025 Home Safety Checklist for Intact and Permanency Workers - Illinois

4.7 of 5 (32 votes)
  • Form CFS2025 Home Safety Checklist for Intact and Permanency Workers - Illinois

    1

  • Form CFS2025 Home Safety Checklist for Intact and Permanency Workers - Illinois, Page 2

    2

  • Form CFS2025 Home Safety Checklist for Intact and Permanency Workers - Illinois, Page 3

    3

  • Form CFS2025 Home Safety Checklist for Intact and Permanency Workers - Illinois, Page 4

    4

  • Form CFS2025 Home Safety Checklist for Intact and Permanency Workers - Illinois, Page 5

    5

  • Form CFS2025 Home Safety Checklist for Intact and Permanency Workers - Illinois, Page 6

    6

  • Form CFS2025 Home Safety Checklist for Intact and Permanency Workers - Illinois, Page 7

    7

  • Form CFS2025 Home Safety Checklist for Intact and Permanency Workers - Illinois, Page 8

    8

  • Form CFS2025 Home Safety Checklist for Intact and Permanency Workers - Illinois, Page 9

    9

  • Form CFS2025 Home Safety Checklist for Intact and Permanency Workers - Illinois, Page 10

    10

  • Form CFS2025 Home Safety Checklist for Intact and Permanency Workers - Illinois, Page 11

    11

  • Form CFS2025 Home Safety Checklist for Intact and Permanency Workers - Illinois, Page 12

    12

  • Form CFS2025 Home Safety Checklist for Intact and Permanency Workers - Illinois, Page 13

    13

  • Form CFS2025 Home Safety Checklist for Intact and Permanency Workers - Illinois, Page 14

    14

  • Form CFS2025 Home Safety Checklist for Intact and Permanency Workers - Illinois, Page 15

    15

  • Form CFS2025 Home Safety Checklist for Intact and Permanency Workers - Illinois, Page 16

    16

  • Form CFS2025 Home Safety Checklist for Intact and Permanency Workers - Illinois, Page 1
  • Form CFS2025 Home Safety Checklist for Intact and Permanency Workers - Illinois, Page 2
  • Form CFS2025 Home Safety Checklist for Intact and Permanency Workers - Illinois, Page 3
  • Form CFS2025 Home Safety Checklist for Intact and Permanency Workers - Illinois, Page 4
  • Form CFS2025 Home Safety Checklist for Intact and Permanency Workers - Illinois, Page 5
  • Form CFS2025 Home Safety Checklist for Intact and Permanency Workers - Illinois, Page 6
  • Form CFS2025 Home Safety Checklist for Intact and Permanency Workers - Illinois, Page 7
  • Form CFS2025 Home Safety Checklist for Intact and Permanency Workers - Illinois, Page 8
  • Form CFS2025 Home Safety Checklist for Intact and Permanency Workers - Illinois, Page 9
  • Form CFS2025 Home Safety Checklist for Intact and Permanency Workers - Illinois, Page 10
  • Form CFS2025 Home Safety Checklist for Intact and Permanency Workers - Illinois, Page 11
  • Form CFS2025 Home Safety Checklist for Intact and Permanency Workers - Illinois, Page 12
  • Form CFS2025 Home Safety Checklist for Intact and Permanency Workers - Illinois, Page 13
  • Form CFS2025 Home Safety Checklist for Intact and Permanency Workers - Illinois, Page 14
  • Form CFS2025 Home Safety Checklist for Intact and Permanency Workers - Illinois, Page 15
  • Form CFS2025 Home Safety Checklist for Intact and Permanency Workers - Illinois, Page 16
Prev 1 2 3 4 5 ... 16 Next
ADVERTISEMENT