Application Packet for Private Schools or Facilities Providing Special Education Services - Idaho

Application Packet for Private Schools or Facilities Providing Special Education Services - Idaho

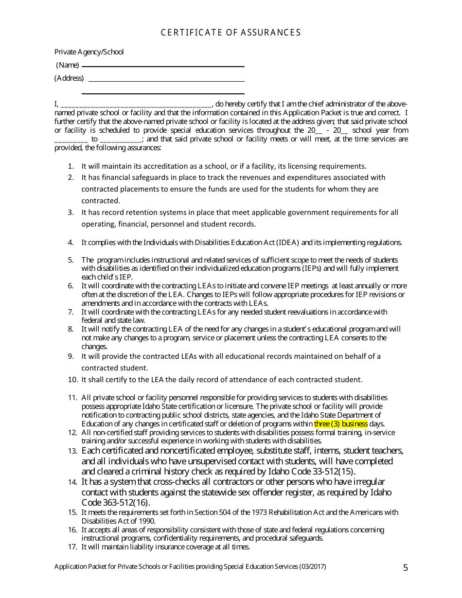
Application Packet for Special Education Services is a legal document that was released by the Idaho Department of Education - a government authority operating within Idaho.

FAQ

Q: What is an application packet for private schools or facilities providing special education services in Idaho?
A: An application packet is a collection of documents required for enrollment to private schools or facilities providing special education services.

Q: Who needs to submit an application packet?
A: Parents or guardians of students seeking enrollment in private schools or facilities providing special education services in Idaho.

Q: What documents are typically included in an application packet?
A: Documents that may be included in an application packet are application forms, student records, medical information, special education evaluations, and any applicable fees.

Q: Are there any fees associated with submitting an application packet?
A: There may be applicable fees associated with submitting an application packet to private schools or facilities providing special education services. The specific fees and payment requirements can vary depending on the school or facility.

ADVERTISEMENT

Form Details:

  • Released on March 1, 2017;
  • The latest edition currently provided by the Idaho Department of Education;
  • Ready to use and print;
  • Easy to customize;
  • Compatible with most PDF-viewing applications;
  • Fill out the form in our online filing application.

Download a printable version of the form by clicking the link below or browse more documents and templates provided by the Idaho Department of Education.

Download Application Packet for Private Schools or Facilities Providing Special Education Services - Idaho

4.3 of 5 (78 votes)
  • Application Packet for Private Schools or Facilities Providing Special Education Services - Idaho

    1

  • Application Packet for Private Schools or Facilities Providing Special Education Services - Idaho, Page 2

    2

  • Application Packet for Private Schools or Facilities Providing Special Education Services - Idaho, Page 3

    3

  • Application Packet for Private Schools or Facilities Providing Special Education Services - Idaho, Page 4

    4

  • Application Packet for Private Schools or Facilities Providing Special Education Services - Idaho, Page 5

    5

  • Application Packet for Private Schools or Facilities Providing Special Education Services - Idaho, Page 6

    6

  • Application Packet for Private Schools or Facilities Providing Special Education Services - Idaho, Page 1
  • Application Packet for Private Schools or Facilities Providing Special Education Services - Idaho, Page 2
  • Application Packet for Private Schools or Facilities Providing Special Education Services - Idaho, Page 3
  • Application Packet for Private Schools or Facilities Providing Special Education Services - Idaho, Page 4
  • Application Packet for Private Schools or Facilities Providing Special Education Services - Idaho, Page 5
  • Application Packet for Private Schools or Facilities Providing Special Education Services - Idaho, Page 6
Prev 1 2 3 4 5 6 Next
ADVERTISEMENT