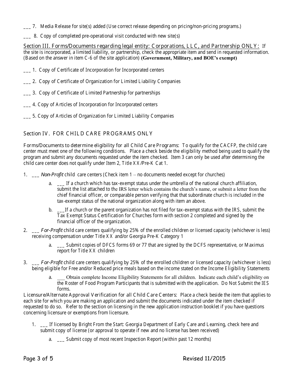
Add-A-site Checklist - Independent Center Adding Sites / Becoming a Center Sponsor - Georgia (United States)

Notification Icon This version of the form is not currently in use and is provided for reference only. Download this version of the document for the current year.

Add-A-site Checklist - Independent Center Adding Sites / Becoming a Center Sponsor - Georgia (United States)

Add-A-site Checklist - Independent Center Adding Sites/Becoming a Center Sponsor is a legal document that was released by the Georgia Department of Early Care and Learning - a government authority operating within Georgia (United States).

FAQ

Q: What is an Add-A-Site Checklist?
A: An Add-A-Site Checklist is a list of requirements and steps that need to be completed in order to add a new independent center or become a center sponsor in Georgia, United States.

Q: What is the purpose of the Add-A-Site Checklist?
A: The purpose of the Add-A-Site Checklist is to ensure that all necessary requirements and steps are met when adding a new independent center or becoming a center sponsor in Georgia, United States.

Q: Who needs to follow the Add-A-Site Checklist?
A: The Add-A-Site Checklist is to be followed by individuals or organizations that want to add a new independent center or become a center sponsor in Georgia, United States.

Q: What are the steps involved in adding a new independent center or becoming a center sponsor in Georgia?
A: The specific steps may vary, but generally involve completing an application, meeting certain requirements such as having adequate facilities and resources, and obtaining necessary approvals and certifications.

ADVERTISEMENT

Form Details:

  • Released on November 1, 2015;
  • The latest edition currently provided by the Georgia Department of Early Care and Learning;
  • Ready to use and print;
  • Easy to customize;
  • Compatible with most PDF-viewing applications;
  • Fill out the form in our online filing application.

Download a printable version of the form by clicking the link below or browse more documents and templates provided by the Georgia Department of Early Care and Learning.

Download Add-A-site Checklist - Independent Center Adding Sites / Becoming a Center Sponsor - Georgia (United States)

4.4 of 5 (89 votes)
  • Add-A-site Checklist - Independent Center Adding Sites/Becoming a Center Sponsor - Georgia (United States)

    1

  • Add-A-site Checklist - Independent Center Adding Sites/Becoming a Center Sponsor - Georgia (United States), Page 2

    2

  • Add-A-site Checklist - Independent Center Adding Sites/Becoming a Center Sponsor - Georgia (United States), Page 3

    3

  • Add-A-site Checklist - Independent Center Adding Sites/Becoming a Center Sponsor - Georgia (United States), Page 4

    4

  • Add-A-site Checklist - Independent Center Adding Sites/Becoming a Center Sponsor - Georgia (United States), Page 5

    5

  • Add-A-site Checklist - Independent Center Adding Sites / Becoming a Center Sponsor - Georgia (United States), Page 1
  • Add-A-site Checklist - Independent Center Adding Sites / Becoming a Center Sponsor - Georgia (United States), Page 2
  • Add-A-site Checklist - Independent Center Adding Sites / Becoming a Center Sponsor - Georgia (United States), Page 3
  • Add-A-site Checklist - Independent Center Adding Sites / Becoming a Center Sponsor - Georgia (United States), Page 4
  • Add-A-site Checklist - Independent Center Adding Sites / Becoming a Center Sponsor - Georgia (United States), Page 5
Prev 1 2 3 4 5 Next
ADVERTISEMENT