Certificate of Free Sale Request Form - Illinois

Notification Icon This version of the form is not currently in use and is provided for reference only. Download this version of the document for the current year.

Certificate of Free Sale Request Form - Illinois

Certificate of Free Sale Request Form is a legal document that was released by the Illinois Department of Public Health - a government authority operating within Illinois.

FAQ

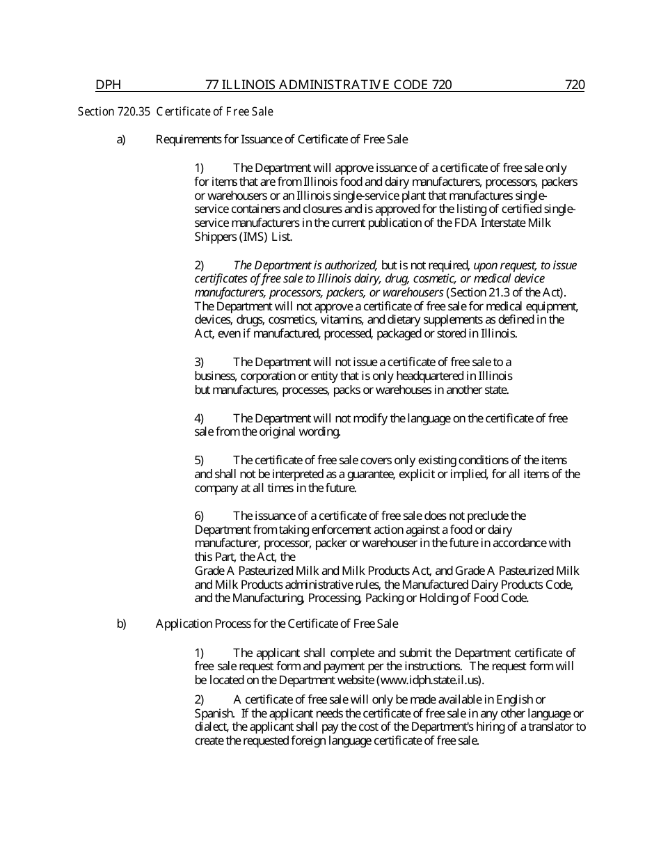
Q: What is a Certificate of Free Sale?
A: A Certificate of Free Sale is a document that certifies that a product is freely sold in the United States.

Q: Why would I need a Certificate of Free Sale?
A: You may need a Certificate of Free Sale if you plan to export a product from the United States to another country.

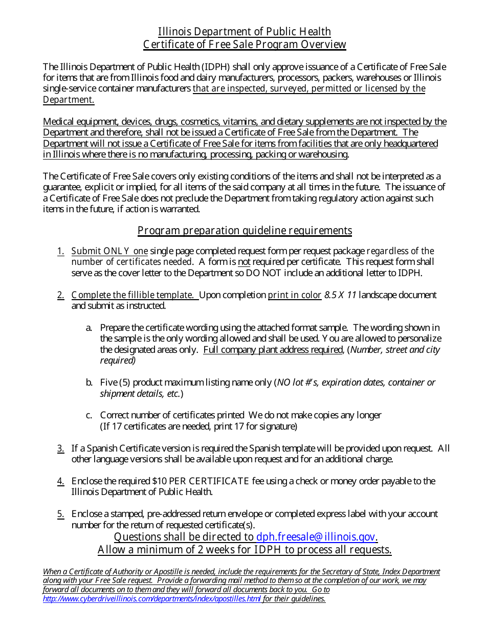
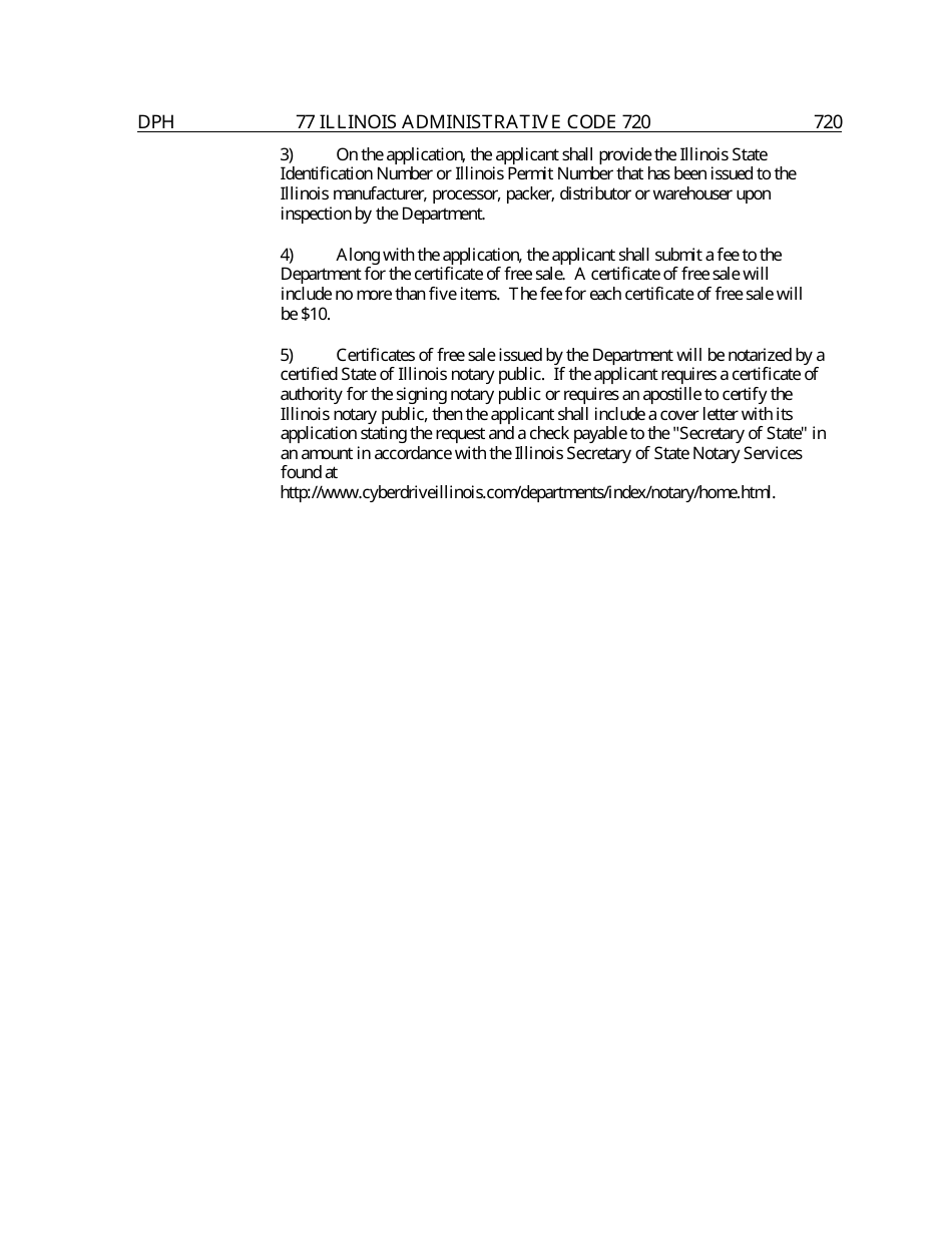
Q: How can I request a Certificate of Free Sale in Illinois?
A: You can request a Certificate of Free Sale in Illinois by completing the Certificate of Free Sale Request Form.

Q: What information do I need to provide on the Certificate of Free Sale Request Form?
A: You will need to provide information such as your name, contact information, product details, and the purpose of the request.

ADVERTISEMENT

Form Details:

  • The latest edition currently provided by the Illinois Department of Public Health;
  • Ready to use and print;
  • Easy to customize;
  • Compatible with most PDF-viewing applications;
  • Fill out the form in our online filing application.

Download a fillable version of the form by clicking the link below or browse more documents and templates provided by the Illinois Department of Public Health.

Download Certificate of Free Sale Request Form - Illinois

4.4 of 5 (33 votes)
  • Certificate of Free Sale Request Form - Illinois

    1

  • Certificate of Free Sale Request Form - Illinois, Page 2

    2

  • Certificate of Free Sale Request Form - Illinois, Page 3

    3

  • Certificate of Free Sale Request Form - Illinois, Page 4

    4

  • Certificate of Free Sale Request Form - Illinois, Page 5

    5

  • Certificate of Free Sale Request Form - Illinois, Page 6

    6

  • Certificate of Free Sale Request Form - Illinois, Page 7

    7

  • Certificate of Free Sale Request Form - Illinois, Page 8

    8

  • Certificate of Free Sale Request Form - Illinois, Page 9

    9

  • Certificate of Free Sale Request Form - Illinois, Page 1
  • Certificate of Free Sale Request Form - Illinois, Page 2
  • Certificate of Free Sale Request Form - Illinois, Page 3
  • Certificate of Free Sale Request Form - Illinois, Page 4
  • Certificate of Free Sale Request Form - Illinois, Page 5
  • Certificate of Free Sale Request Form - Illinois, Page 6
  • Certificate of Free Sale Request Form - Illinois, Page 7
  • Certificate of Free Sale Request Form - Illinois, Page 8
  • Certificate of Free Sale Request Form - Illinois, Page 9
Prev 1 2 3 4 5 ... 9 Next
ADVERTISEMENT