Instructions for Form MTRB JC-1, MTRB CJC-2, MTRB VJC-3 Transmittal for Material Review / Testing - Hawaii

Instructions for Form MTRB JC-1, MTRB CJC-2, MTRB VJC-3 Transmittal for Material Review / Testing - Hawaii

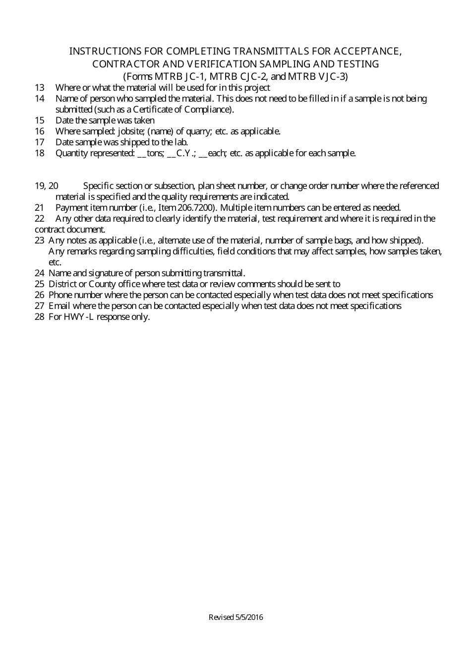
This document contains official instructions for Form MTRB JC-1 , Form MTRB CJC-2 , and Form MTRB VJC-3 . All forms are released and collected by the Hawaii Department of Transportation. An up-to-date fillable Form MTRB JC-1 is available for download through this link. The latest available Form MTRB CJC-2 can be downloaded through this link. Form MTRB VJC-3 can be found here.

FAQ

Q: What is Form MTRB JC-1?
A: Form MTRB JC-1 is a transmittal form used for Material Review/Testing in Hawaii.

Q: What is Form MTRB CJC-2?
A: Form MTRB CJC-2 is a transmittal form used for Material Review/Testing in Hawaii.

Q: What is Form MTRB VJC-3?
A: Form MTRB VJC-3 is a transmittal form used for Material Review/Testing in Hawaii.

ADVERTISEMENT

Instruction Details:

  • This 3-page document is available for download in PDF;
  • Actual and applicable for the current year;
  • Complete, printable, and free.

Download your copy of the instructions by clicking the link below or browse hundreds of other forms in our library of forms released by the Hawaii Department of Transportation.

Download Instructions for Form MTRB JC-1, MTRB CJC-2, MTRB VJC-3 Transmittal for Material Review / Testing - Hawaii

4.8 of 5 (23 votes)
  • Instructions for Form MTRB JC-1, MTRB CJC-2, MTRB VJC-3 Transmittal for Material Review/Testing - Hawaii

    1

  • Instructions for Form MTRB JC-1, MTRB CJC-2, MTRB VJC-3 Transmittal for Material Review/Testing - Hawaii, Page 2

    2

  • Instructions for Form MTRB JC-1, MTRB CJC-2, MTRB VJC-3 Transmittal for Material Review/Testing - Hawaii, Page 3

    3

  • Instructions for Form MTRB JC-1, MTRB CJC-2, MTRB VJC-3 Transmittal for Material Review / Testing - Hawaii, Page 1
  • Instructions for Form MTRB JC-1, MTRB CJC-2, MTRB VJC-3 Transmittal for Material Review / Testing - Hawaii, Page 2
  • Instructions for Form MTRB JC-1, MTRB CJC-2, MTRB VJC-3 Transmittal for Material Review / Testing - Hawaii, Page 3
Prev 1 2 3 Next
ADVERTISEMENT