Form IOCI0538-11 Complaint Form - Illinois

Form IOCI0538-11 Complaint Form - Illinois

What Is Form IOCI0538-11?

This is a legal form that was released by the Illinois Department of Public Health - a government authority operating within Illinois. As of today, no separate filing guidelines for the form are provided by the issuing department.

FAQ

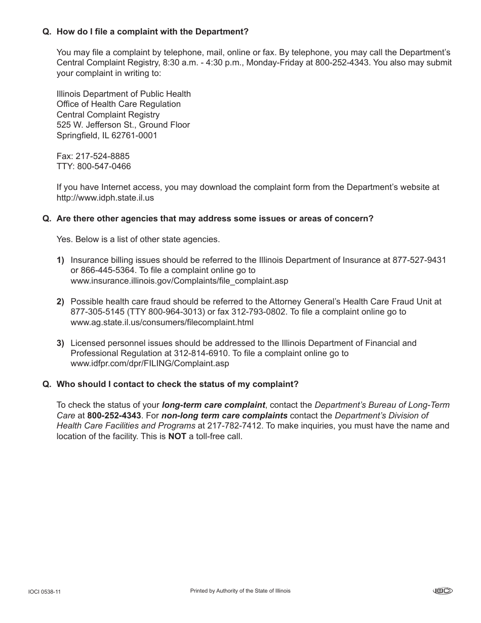
Q: What is the IOCI0538-11 Complaint Form?
A: The IOCI0538-11 Complaint Form is a specific complaint form used in the state of Illinois.

Q: What is the purpose of the IOCI0538-11 Complaint Form?
A: The purpose of the IOCI0538-11 Complaint Form is to report and document complaints related to the statewide 911 system in Illinois.

Q: Who can use the IOCI0538-11 Complaint Form?
A: The IOCI0538-11 Complaint Form can be used by anyone who wants to file a complaint regarding the statewide 911 system in Illinois.

Q: Are there any specific instructions for filling out the IOCI0538-11 Complaint Form?
A: Yes, there are specific instructions provided with the IOCI0538-11 Complaint Form that you should follow to accurately fill out the form.

Q: Are there any fees associated with filing the IOCI0538-11 Complaint Form?
A: No, there are no fees associated with filing the IOCI0538-11 Complaint Form.

Q: What should I do if I have questions about the IOCI0538-11 Complaint Form or the complaint process?
A: If you have questions, you can contact the Illinois Office of the Statewide 911 Administrator for assistance.

ADVERTISEMENT

Form Details:

  • The latest edition provided by the Illinois Department of Public Health;
  • Easy to use and ready to print;
  • Quick to customize;
  • Compatible with most PDF-viewing applications;
  • Fill out the form in our online filing application.

Download a fillable version of Form IOCI0538-11 by clicking the link below or browse more documents and templates provided by the Illinois Department of Public Health.

Download Form IOCI0538-11 Complaint Form - Illinois

4.8 of 5 (16 votes)
  • Form IOCI0538-11 Complaint Form - Illinois

    1

  • Form IOCI0538-11 Complaint Form - Illinois, Page 2

    2

  • Form IOCI0538-11 Complaint Form - Illinois, Page 3

    3

  • Form IOCI0538-11 Complaint Form - Illinois, Page 4

    4

  • Form IOCI0538-11 Complaint Form - Illinois, Page 1
  • Form IOCI0538-11 Complaint Form - Illinois, Page 2
  • Form IOCI0538-11 Complaint Form - Illinois, Page 3
  • Form IOCI0538-11 Complaint Form - Illinois, Page 4
Prev 1 2 3 4 Next
ADVERTISEMENT