Form DHS-6696-SOM Application for Health Coverage and Help Paying Costs - Minnesota (Somali)

Form DHS-6696-SOM Application for Health Coverage and Help Paying Costs - Minnesota (Somali)

This is a legal form that was released by the Minnesota Department of Human Services - a government authority operating within Minnesota.

The document is provided in Somali. As of today, no separate filing guidelines for the form are provided by the issuing department.

FAQ

Q: What is Form DHS-6696-SOM?
A: Form DHS-6696-SOM is an application for health coverage and help paying costs in Minnesota. It is specifically designed for Somali-speaking individuals.

Q: Who can use Form DHS-6696-SOM?
A: Somali-speaking individuals in Minnesota can use Form DHS-6696-SOM to apply for health coverage and help with paying costs.

Q: What is the purpose of Form DHS-6696-SOM?
A: The purpose of Form DHS-6696-SOM is to provide a way for Somali-speaking individuals in Minnesota to apply for health coverage and get assistance with their costs.

Q: Is Form DHS-6696-SOM only available in Somali?
A: Yes, Form DHS-6696-SOM is specifically translated into Somali to cater to the Somali-speaking population in Minnesota.

Q: Can I get help with filling out Form DHS-6696-SOM?
A: Yes, you can get assistance with filling out Form DHS-6696-SOM by contacting your local county human services agency or other authorized organizations in Minnesota.

ADVERTISEMENT

Form Details:

  • Released on November 1, 2018;
  • The latest edition provided by the Minnesota Department of Human Services;
  • Easy to use and ready to print;
  • Quick to customize;
  • Compatible with most PDF-viewing applications;

Download a printable version of Form DHS-6696-SOM by clicking the link below or browse more documents and templates provided by the Minnesota Department of Human Services.

Download Form DHS-6696-SOM Application for Health Coverage and Help Paying Costs - Minnesota (Somali)

4.7 of 5 (86 votes)
  • Form DHS-6696-SOM Application for Health Coverage and Help Paying Costs - Minnesota (Somali)

    1

  • Form DHS-6696-SOM Application for Health Coverage and Help Paying Costs - Minnesota (Somali), Page 2

    2

  • Form DHS-6696-SOM Application for Health Coverage and Help Paying Costs - Minnesota (Somali), Page 3

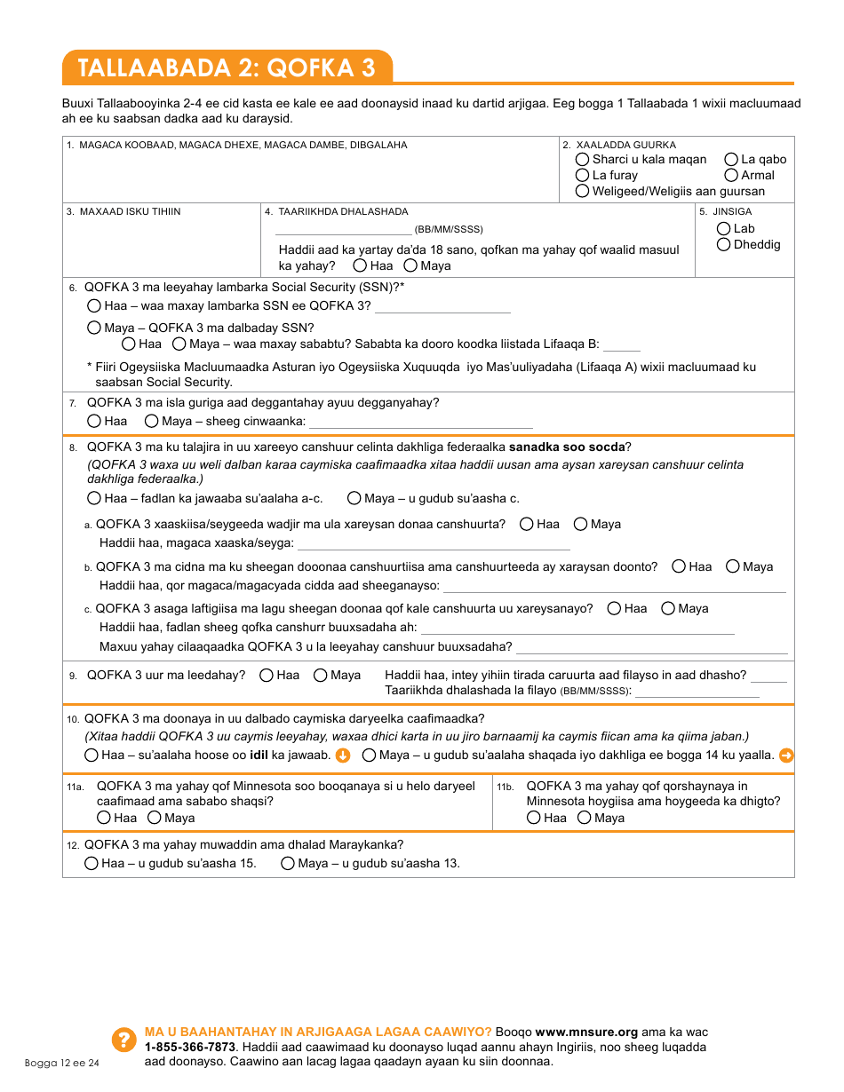
    3

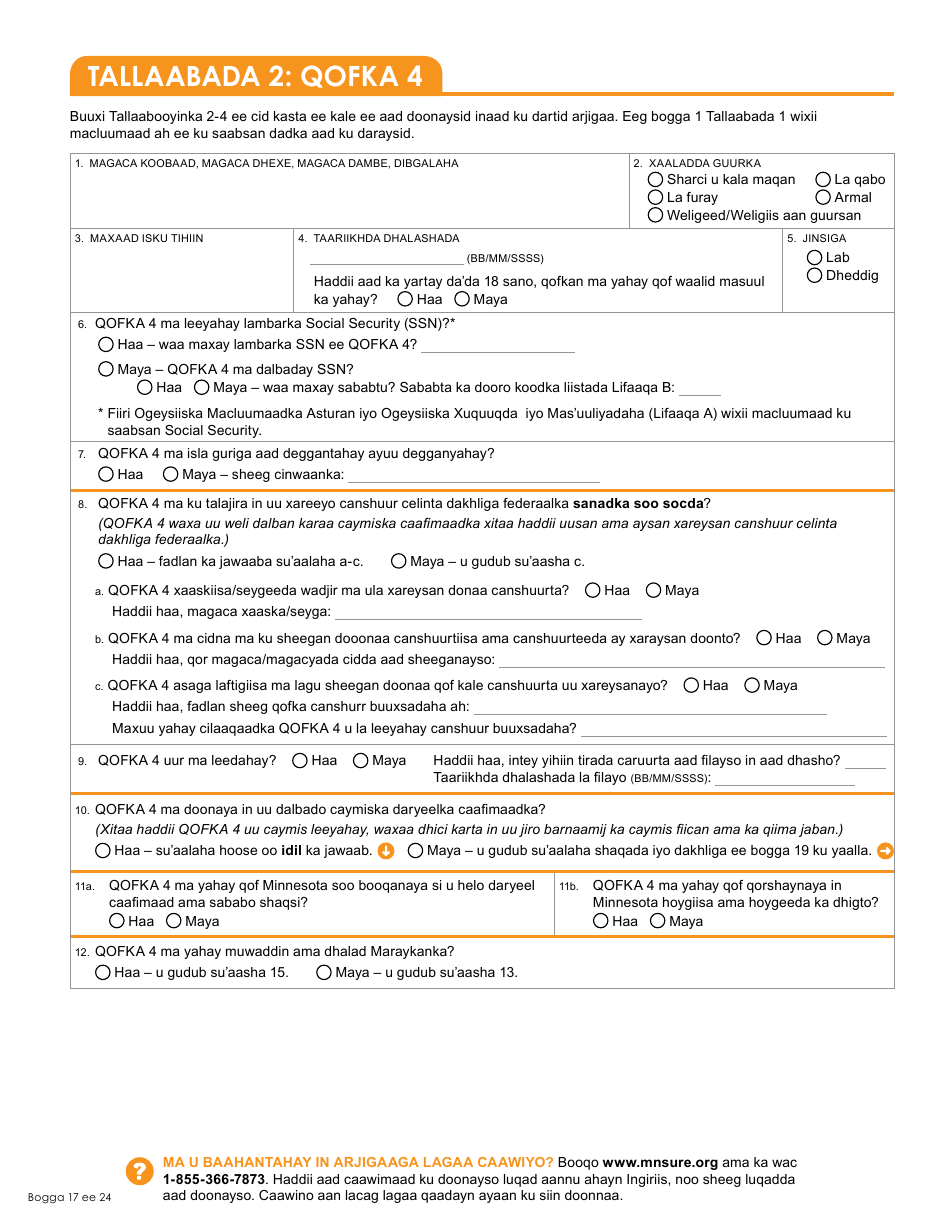
  • Form DHS-6696-SOM Application for Health Coverage and Help Paying Costs - Minnesota (Somali), Page 4

    4

  • Form DHS-6696-SOM Application for Health Coverage and Help Paying Costs - Minnesota (Somali), Page 5

    5

  • Form DHS-6696-SOM Application for Health Coverage and Help Paying Costs - Minnesota (Somali), Page 6

    6

  • Form DHS-6696-SOM Application for Health Coverage and Help Paying Costs - Minnesota (Somali), Page 7

    7

  • Form DHS-6696-SOM Application for Health Coverage and Help Paying Costs - Minnesota (Somali), Page 8

    8

  • Form DHS-6696-SOM Application for Health Coverage and Help Paying Costs - Minnesota (Somali), Page 9

    9

  • Form DHS-6696-SOM Application for Health Coverage and Help Paying Costs - Minnesota (Somali), Page 10

    10

  • Form DHS-6696-SOM Application for Health Coverage and Help Paying Costs - Minnesota (Somali), Page 11

    11

  • Form DHS-6696-SOM Application for Health Coverage and Help Paying Costs - Minnesota (Somali), Page 12

    12

  • Form DHS-6696-SOM Application for Health Coverage and Help Paying Costs - Minnesota (Somali), Page 13

    13

  • Form DHS-6696-SOM Application for Health Coverage and Help Paying Costs - Minnesota (Somali), Page 14

    14

  • Form DHS-6696-SOM Application for Health Coverage and Help Paying Costs - Minnesota (Somali), Page 15

    15

  • Form DHS-6696-SOM Application for Health Coverage and Help Paying Costs - Minnesota (Somali), Page 16

    16

  • Form DHS-6696-SOM Application for Health Coverage and Help Paying Costs - Minnesota (Somali), Page 17

    17

  • Form DHS-6696-SOM Application for Health Coverage and Help Paying Costs - Minnesota (Somali), Page 18

    18

  • Form DHS-6696-SOM Application for Health Coverage and Help Paying Costs - Minnesota (Somali), Page 19

    19

  • Form DHS-6696-SOM Application for Health Coverage and Help Paying Costs - Minnesota (Somali), Page 20

    20

  • Form DHS-6696-SOM Application for Health Coverage and Help Paying Costs - Minnesota (Somali), Page 21

    21

  • Form DHS-6696-SOM Application for Health Coverage and Help Paying Costs - Minnesota (Somali), Page 22

    22

  • Form DHS-6696-SOM Application for Health Coverage and Help Paying Costs - Minnesota (Somali), Page 23

    23

  • Form DHS-6696-SOM Application for Health Coverage and Help Paying Costs - Minnesota (Somali), Page 24

    24

  • Form DHS-6696-SOM Application for Health Coverage and Help Paying Costs - Minnesota (Somali), Page 25

    25

  • Form DHS-6696-SOM Application for Health Coverage and Help Paying Costs - Minnesota (Somali), Page 26

    26

  • Form DHS-6696-SOM Application for Health Coverage and Help Paying Costs - Minnesota (Somali), Page 27

    27

  • Form DHS-6696-SOM Application for Health Coverage and Help Paying Costs - Minnesota (Somali), Page 28

    28

  • Form DHS-6696-SOM Application for Health Coverage and Help Paying Costs - Minnesota (Somali), Page 29

    29

  • Form DHS-6696-SOM Application for Health Coverage and Help Paying Costs - Minnesota (Somali), Page 30

    30

  • Form DHS-6696-SOM Application for Health Coverage and Help Paying Costs - Minnesota (Somali), Page 31

    31

  • Form DHS-6696-SOM Application for Health Coverage and Help Paying Costs - Minnesota (Somali), Page 32

    32

  • Form DHS-6696-SOM Application for Health Coverage and Help Paying Costs - Minnesota (Somali), Page 33

    33

  • Form DHS-6696-SOM Application for Health Coverage and Help Paying Costs - Minnesota (Somali), Page 34

    34

  • Form DHS-6696-SOM Application for Health Coverage and Help Paying Costs - Minnesota (Somali), Page 35

    35

  • Form DHS-6696-SOM Application for Health Coverage and Help Paying Costs - Minnesota (Somali), Page 36

    36

  • Form DHS-6696-SOM Application for Health Coverage and Help Paying Costs - Minnesota (Somali), Page 37

    37

  • Form DHS-6696-SOM Application for Health Coverage and Help Paying Costs - Minnesota (Somali), Page 38

    38

  • Form DHS-6696-SOM Application for Health Coverage and Help Paying Costs - Minnesota (Somali), Page 39

    39

  • Form DHS-6696-SOM Application for Health Coverage and Help Paying Costs - Minnesota (Somali), Page 40

    40

  • Form DHS-6696-SOM Application for Health Coverage and Help Paying Costs - Minnesota (Somali), Page 41

    41

  • Form DHS-6696-SOM Application for Health Coverage and Help Paying Costs - Minnesota (Somali), Page 42

    42

  • Form DHS-6696-SOM Application for Health Coverage and Help Paying Costs - Minnesota (Somali), Page 43

    43

  • Form DHS-6696-SOM Application for Health Coverage and Help Paying Costs - Minnesota (Somali), Page 44

    44

  • Form DHS-6696-SOM Application for Health Coverage and Help Paying Costs - Minnesota (Somali), Page 45

    45

  • Form DHS-6696-SOM Application for Health Coverage and Help Paying Costs - Minnesota (Somali), Page 46

    46

  • Form DHS-6696-SOM Application for Health Coverage and Help Paying Costs - Minnesota (Somali), Page 1
  • Form DHS-6696-SOM Application for Health Coverage and Help Paying Costs - Minnesota (Somali), Page 2
  • Form DHS-6696-SOM Application for Health Coverage and Help Paying Costs - Minnesota (Somali), Page 3
  • Form DHS-6696-SOM Application for Health Coverage and Help Paying Costs - Minnesota (Somali), Page 4
  • Form DHS-6696-SOM Application for Health Coverage and Help Paying Costs - Minnesota (Somali), Page 5
  • Form DHS-6696-SOM Application for Health Coverage and Help Paying Costs - Minnesota (Somali), Page 6
  • Form DHS-6696-SOM Application for Health Coverage and Help Paying Costs - Minnesota (Somali), Page 7
  • Form DHS-6696-SOM Application for Health Coverage and Help Paying Costs - Minnesota (Somali), Page 8
  • Form DHS-6696-SOM Application for Health Coverage and Help Paying Costs - Minnesota (Somali), Page 9
  • Form DHS-6696-SOM Application for Health Coverage and Help Paying Costs - Minnesota (Somali), Page 10
  • Form DHS-6696-SOM Application for Health Coverage and Help Paying Costs - Minnesota (Somali), Page 11
  • Form DHS-6696-SOM Application for Health Coverage and Help Paying Costs - Minnesota (Somali), Page 12
  • Form DHS-6696-SOM Application for Health Coverage and Help Paying Costs - Minnesota (Somali), Page 13
  • Form DHS-6696-SOM Application for Health Coverage and Help Paying Costs - Minnesota (Somali), Page 14
  • Form DHS-6696-SOM Application for Health Coverage and Help Paying Costs - Minnesota (Somali), Page 15
  • Form DHS-6696-SOM Application for Health Coverage and Help Paying Costs - Minnesota (Somali), Page 16
  • Form DHS-6696-SOM Application for Health Coverage and Help Paying Costs - Minnesota (Somali), Page 17
  • Form DHS-6696-SOM Application for Health Coverage and Help Paying Costs - Minnesota (Somali), Page 18
  • Form DHS-6696-SOM Application for Health Coverage and Help Paying Costs - Minnesota (Somali), Page 19
  • Form DHS-6696-SOM Application for Health Coverage and Help Paying Costs - Minnesota (Somali), Page 20
  • Form DHS-6696-SOM Application for Health Coverage and Help Paying Costs - Minnesota (Somali), Page 21
  • Form DHS-6696-SOM Application for Health Coverage and Help Paying Costs - Minnesota (Somali), Page 22
  • Form DHS-6696-SOM Application for Health Coverage and Help Paying Costs - Minnesota (Somali), Page 23
  • Form DHS-6696-SOM Application for Health Coverage and Help Paying Costs - Minnesota (Somali), Page 24
  • Form DHS-6696-SOM Application for Health Coverage and Help Paying Costs - Minnesota (Somali), Page 25
  • Form DHS-6696-SOM Application for Health Coverage and Help Paying Costs - Minnesota (Somali), Page 26
  • Form DHS-6696-SOM Application for Health Coverage and Help Paying Costs - Minnesota (Somali), Page 27
  • Form DHS-6696-SOM Application for Health Coverage and Help Paying Costs - Minnesota (Somali), Page 28
  • Form DHS-6696-SOM Application for Health Coverage and Help Paying Costs - Minnesota (Somali), Page 29
  • Form DHS-6696-SOM Application for Health Coverage and Help Paying Costs - Minnesota (Somali), Page 30
  • Form DHS-6696-SOM Application for Health Coverage and Help Paying Costs - Minnesota (Somali), Page 31
  • Form DHS-6696-SOM Application for Health Coverage and Help Paying Costs - Minnesota (Somali), Page 32
  • Form DHS-6696-SOM Application for Health Coverage and Help Paying Costs - Minnesota (Somali), Page 33
  • Form DHS-6696-SOM Application for Health Coverage and Help Paying Costs - Minnesota (Somali), Page 34
  • Form DHS-6696-SOM Application for Health Coverage and Help Paying Costs - Minnesota (Somali), Page 35
  • Form DHS-6696-SOM Application for Health Coverage and Help Paying Costs - Minnesota (Somali), Page 36
  • Form DHS-6696-SOM Application for Health Coverage and Help Paying Costs - Minnesota (Somali), Page 37
  • Form DHS-6696-SOM Application for Health Coverage and Help Paying Costs - Minnesota (Somali), Page 38
  • Form DHS-6696-SOM Application for Health Coverage and Help Paying Costs - Minnesota (Somali), Page 39
  • Form DHS-6696-SOM Application for Health Coverage and Help Paying Costs - Minnesota (Somali), Page 40
  • Form DHS-6696-SOM Application for Health Coverage and Help Paying Costs - Minnesota (Somali), Page 41
  • Form DHS-6696-SOM Application for Health Coverage and Help Paying Costs - Minnesota (Somali), Page 42
  • Form DHS-6696-SOM Application for Health Coverage and Help Paying Costs - Minnesota (Somali), Page 43
  • Form DHS-6696-SOM Application for Health Coverage and Help Paying Costs - Minnesota (Somali), Page 44
  • Form DHS-6696-SOM Application for Health Coverage and Help Paying Costs - Minnesota (Somali), Page 45
  • Form DHS-6696-SOM Application for Health Coverage and Help Paying Costs - Minnesota (Somali), Page 46
Prev 1 2 3 4 5 ... 46 Next
ADVERTISEMENT

Related Documents