Form GAC8-UM Order Appointing Guardian and Conservator (Minor) - Minnesota

Notification Icon This version of the form is not currently in use and is provided for reference only. Download this version of Form GAC8-UM for the current year.

Form GAC8-UM Order Appointing Guardian and Conservator (Minor) - Minnesota

What Is Form GAC8-UM?

This is a legal form that was released by the United States District Court for the District of Minnesota - a government authority operating within Minnesota. As of today, no separate filing guidelines for the form are provided by the issuing department.

FAQ

Q: What is Form GAC8-UM?
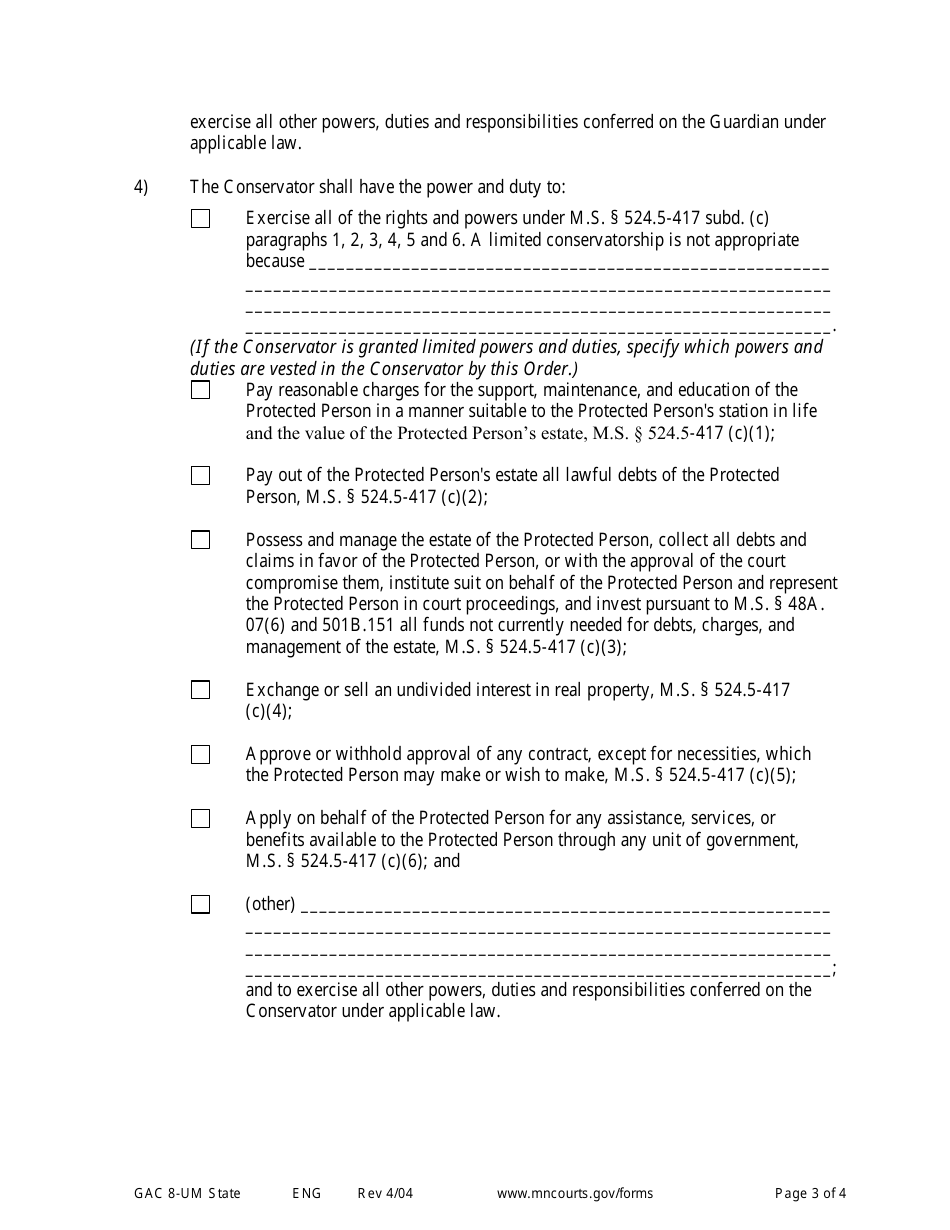
A: Form GAC8-UM is a legal document used in Minnesota to appoint a guardian and conservator for a minor.

Q: What does this form do?
A: This form is used to officially appoint someone as a guardian and conservator for a minor, granting them legal authority to make decisions on behalf of the minor.

Q: Who uses Form GAC8-UM?
A: This form is typically used by parents or legal guardians who want to appoint someone to take care of their minor child's personal and financial affairs in their absence.

Q: Is Form GAC8-UM specific to Minnesota?
A: Yes, Form GAC8-UM is specifically used in the state of Minnesota.

Q: What is a guardian and conservator?
A: A guardian is someone who is responsible for making personal and medical decisions for a minor. A conservator is responsible for managing the minor's financial affairs.

ADVERTISEMENT

Form Details:

  • Released on April 1, 2004;
  • The latest edition provided by the United States District Court for the District of Minnesota;
  • Easy to use and ready to print;
  • Quick to customize;
  • Compatible with most PDF-viewing applications;
  • Fill out the form in our online filing application.

Download a printable version of Form GAC8-UM by clicking the link below or browse more documents and templates provided by the United States District Court for the District of Minnesota.

Download Form GAC8-UM Order Appointing Guardian and Conservator (Minor) - Minnesota

4.8 of 5 (63 votes)
  • Form GAC8-UM Order Appointing Guardian and Conservator (Minor) - Minnesota

    1

  • Form GAC8-UM Order Appointing Guardian and Conservator (Minor) - Minnesota, Page 2

    2

  • Form GAC8-UM Order Appointing Guardian and Conservator (Minor) - Minnesota, Page 3

    3

  • Form GAC8-UM Order Appointing Guardian and Conservator (Minor) - Minnesota, Page 4

    4

  • Form GAC8-UM Order Appointing Guardian and Conservator (Minor) - Minnesota, Page 1
  • Form GAC8-UM Order Appointing Guardian and Conservator (Minor) - Minnesota, Page 2
  • Form GAC8-UM Order Appointing Guardian and Conservator (Minor) - Minnesota, Page 3
  • Form GAC8-UM Order Appointing Guardian and Conservator (Minor) - Minnesota, Page 4
Prev 1 2 3 4 Next
ADVERTISEMENT