Form PFR2 Professional Fundraiser Solicitation Notice - Minnesota

Form PFR2 Professional Fundraiser Solicitation Notice - Minnesota

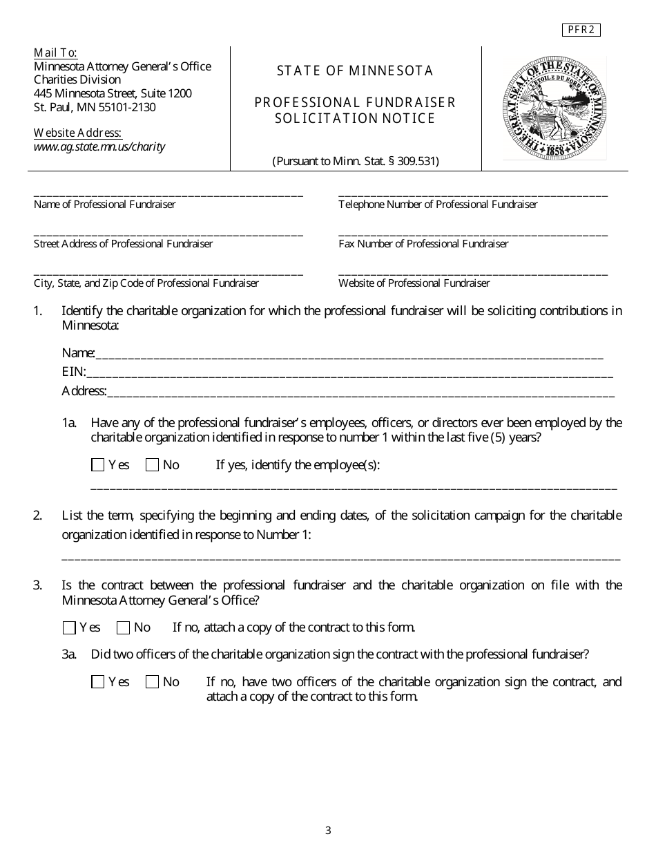
What Is Form PFR2?

This is a legal form that was released by the Office of the Minnesota Attorney General - a government authority operating within Minnesota. As of today, no separate filing guidelines for the form are provided by the issuing department.

FAQ

Q: What is a PFR2 Professional Fundraiser Solicitation Notice?
A: A PFR2 Professional Fundraiser Solicitation Notice is a form required by the state of Minnesota for professional fundraisers.

Q: Who needs to file a PFR2 Professional Fundraiser Solicitation Notice in Minnesota?
A: Professional fundraisers operating in Minnesota need to file a PFR2 Professional Fundraiser Solicitation Notice.

Q: What information is required on the PFR2 Professional Fundraiser Solicitation Notice?
A: The PFR2 Professional Fundraiser Solicitation Notice requires information such as the name and address of the professional fundraiser, the name of the charitable organization they are working for, and details about the fundraising activities.

Q: How often does a PFR2 Professional Fundraiser Solicitation Notice need to be filed in Minnesota?
A: The PFR2 Professional Fundraiser Solicitation Notice needs to be filed annually in Minnesota.

ADVERTISEMENT

Form Details:

  • The latest edition provided by the Office of the Minnesota Attorney General;
  • Easy to use and ready to print;
  • Quick to customize;
  • Compatible with most PDF-viewing applications;
  • Fill out the form in our online filing application.

Download a fillable version of Form PFR2 by clicking the link below or browse more documents and templates provided by the Office of the Minnesota Attorney General.

Download Form PFR2 Professional Fundraiser Solicitation Notice - Minnesota

4.8 of 5 (14 votes)
  • Form PFR2 Professional Fundraiser Solicitation Notice - Minnesota

    1

  • Form PFR2 Professional Fundraiser Solicitation Notice - Minnesota, Page 2

    2

  • Form PFR2 Professional Fundraiser Solicitation Notice - Minnesota, Page 3

    3

  • Form PFR2 Professional Fundraiser Solicitation Notice - Minnesota, Page 4

    4

  • Form PFR2 Professional Fundraiser Solicitation Notice - Minnesota, Page 5

    5

  • Form PFR2 Professional Fundraiser Solicitation Notice - Minnesota, Page 6

    6

  • Form PFR2 Professional Fundraiser Solicitation Notice - Minnesota, Page 7

    7

  • Form PFR2 Professional Fundraiser Solicitation Notice - Minnesota, Page 1
  • Form PFR2 Professional Fundraiser Solicitation Notice - Minnesota, Page 2
  • Form PFR2 Professional Fundraiser Solicitation Notice - Minnesota, Page 3
  • Form PFR2 Professional Fundraiser Solicitation Notice - Minnesota, Page 4
  • Form PFR2 Professional Fundraiser Solicitation Notice - Minnesota, Page 5
  • Form PFR2 Professional Fundraiser Solicitation Notice - Minnesota, Page 6
  • Form PFR2 Professional Fundraiser Solicitation Notice - Minnesota, Page 7
Prev 1 2 3 4 5 ... 7 Next
ADVERTISEMENT