Form 427 Drinking Water Microbiology Monitoring Sample Request Form - Mississippi

Form 427 Drinking Water Microbiology Monitoring Sample Request Form - Mississippi

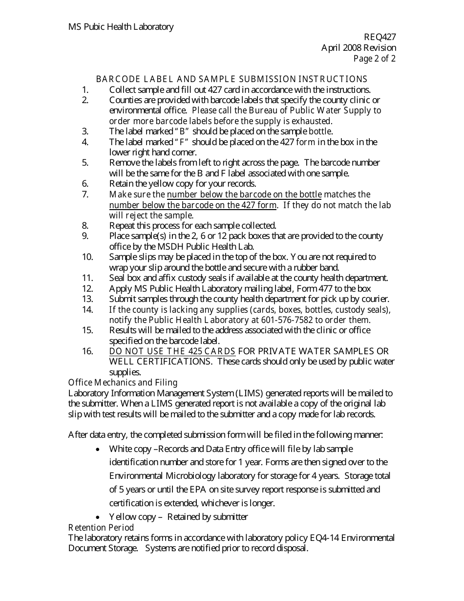
What Is Form 427?

This is a legal form that was released by the Mississippi Department of Health - a government authority operating within Mississippi. As of today, no separate filing guidelines for the form are provided by the issuing department.

FAQ

Q: What is Form 427?
A: Form 427 is the Drinking Water Microbiology Monitoring Sample Request Form in Mississippi.

Q: What is the purpose of Form 427?
A: The purpose of Form 427 is to request samples for microbiology monitoring of drinking water.

Q: Who uses Form 427?
A: Form 427 is used by entities involved in monitoring the quality of drinking water.

Q: How can I obtain Form 427?
A: You can obtain Form 427 by contacting the appropriate authority or department in Mississippi.

Q: What information is required on Form 427?
A: Form 427 requires information such as the sampling location, date, and contact details of the requestor.

Q: Is there a fee for submitting Form 427?
A: The fee for submitting Form 427 may vary depending on the specific requirements and regulations in Mississippi. It is best to inquire with the relevant authority or department.

Q: Are there any specific guidelines for completing Form 427?
A: Yes, there may be specific guidelines for completing Form 427. It is important to follow the instructions provided by the issuing authority or department.

Q: What happens after submitting Form 427?
A: After submitting Form 427, the samples requested for microbiology monitoring of drinking water will be collected and analyzed as per the regulations and protocols in Mississippi.

Q: Is Form 427 only applicable in Mississippi?
A: Yes, Form 427 is specific to the state of Mississippi and its regulations for drinking water microbiology monitoring.

ADVERTISEMENT

Form Details:

  • Released on April 1, 2008;
  • The latest edition provided by the Mississippi Department of Health;
  • Easy to use and ready to print;
  • Quick to customize;
  • Compatible with most PDF-viewing applications;
  • Fill out the form in our online filing application.

Download a printable version of Form 427 by clicking the link below or browse more documents and templates provided by the Mississippi Department of Health.

Download Form 427 Drinking Water Microbiology Monitoring Sample Request Form - Mississippi

4.5 of 5 (64 votes)
  • Form 427 Drinking Water Microbiology Monitoring Sample Request Form - Mississippi

    1

  • Form 427 Drinking Water Microbiology Monitoring Sample Request Form - Mississippi, Page 2

    2

  • Form 427 Drinking Water Microbiology Monitoring Sample Request Form - Mississippi, Page 3

    3

  • Form 427 Drinking Water Microbiology Monitoring Sample Request Form - Mississippi, Page 1
  • Form 427 Drinking Water Microbiology Monitoring Sample Request Form - Mississippi, Page 2
  • Form 427 Drinking Water Microbiology Monitoring Sample Request Form - Mississippi, Page 3
Prev 1 2 3 Next
ADVERTISEMENT

Related Documents