Application for Creation of a Specialty License Plate Design for an Organization - Nebraska

Application for Creation of a Specialty License Plate Design for an Organization - Nebraska

Application for Creation of a Plate Design for an Organization is a legal document that was released by the Nebraska Department of Motor Vehicles - a government authority operating within Nebraska.

FAQ

Q: How can I apply for a specialty license plate design in Nebraska?
A: To apply for a specialty license plate design in Nebraska, you need to complete an application form.

Q: Is there a fee for applying for a specialty license plate design in Nebraska?
A: Yes, there is a fee for applying for a specialty license plate design in Nebraska. The current fee is $40.

Q: Can any organization apply for a specialty license plate design in Nebraska?
A: Yes, any organization that meets the eligibility requirements can apply for a specialty license plate design in Nebraska.

Q: What are the eligibility requirements for a specialty license plate design in Nebraska?
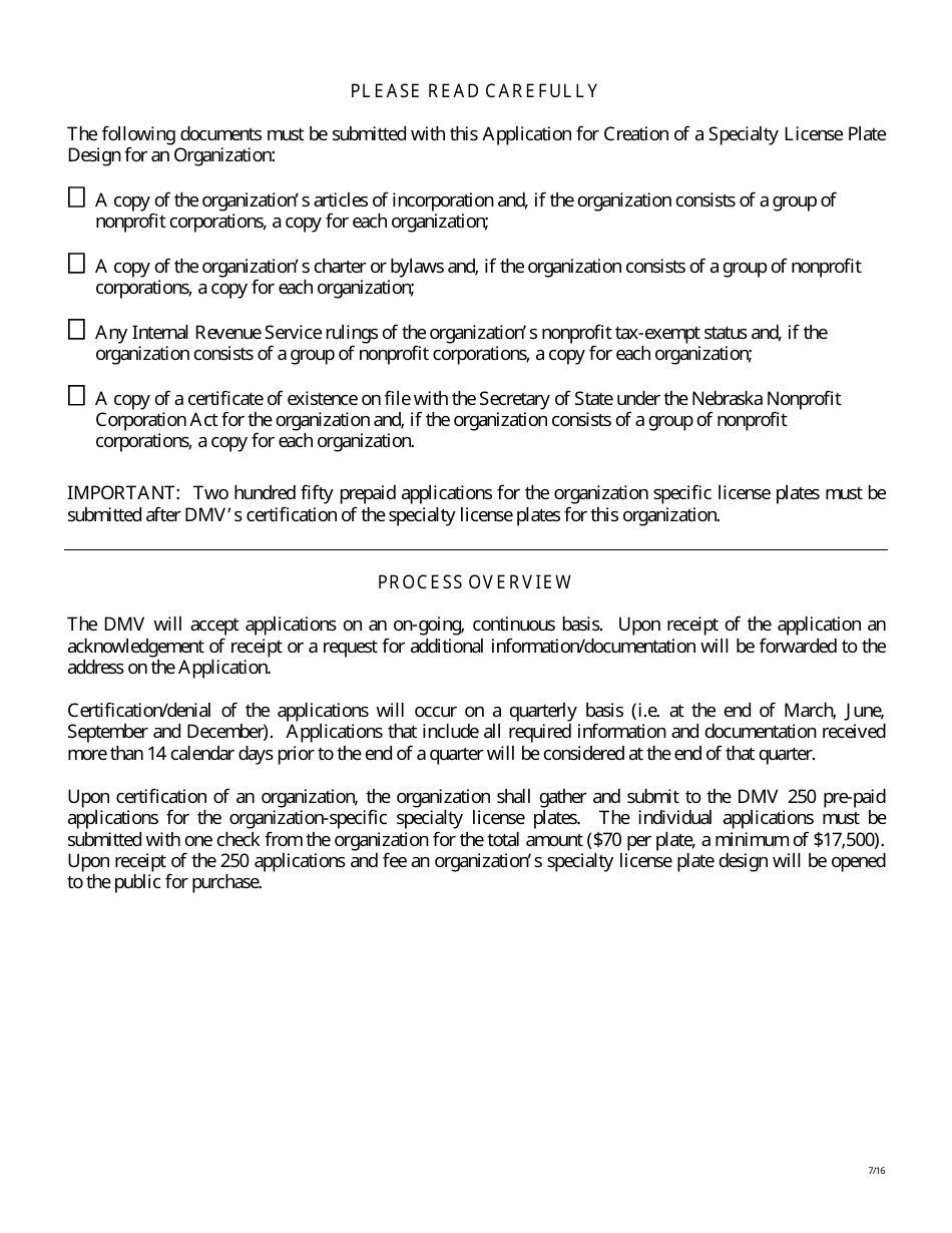
A: The organization must be a non-profit organization or governmental agency, and must have at least 250 registered Nebraska vehicle owners who express interest in purchasing the specialty license plate.

Q: Can I design the license plate myself?
A: No, the license plate design is created by the Nebraska DMV based on the specifications provided by the organization.

Q: How long does it take to process the application?
A: It usually takes about 6 to 8 months to process the application for a specialty license plate design in Nebraska.

Q: Can I personalize the specialty license plate?
A: Yes, you can personalize the specialty license plate by choosing your own combination of letters and numbers.

Q: How much does a specialty license plate cost?
A: The cost of a specialty license plate in Nebraska is $70 per year in addition to the regular vehicle registration fees.

ADVERTISEMENT

Form Details:

  • Released on July 1, 2016;
  • The latest edition currently provided by the Nebraska Department of Motor Vehicles;
  • Ready to use and print;
  • Easy to customize;
  • Compatible with most PDF-viewing applications;
  • Fill out the form in our online filing application.

Download a fillable version of the form by clicking the link below or browse more documents and templates provided by the Nebraska Department of Motor Vehicles.

Download Application for Creation of a Specialty License Plate Design for an Organization - Nebraska

4.7 of 5 (16 votes)
  • Application for Creation of a Specialty License Plate Design for an Organization - Nebraska

    1

  • Application for Creation of a Specialty License Plate Design for an Organization - Nebraska, Page 2

    2

  • Application for Creation of a Specialty License Plate Design for an Organization - Nebraska, Page 3

    3

  • Application for Creation of a Specialty License Plate Design for an Organization - Nebraska, Page 4

    4

  • Application for Creation of a Specialty License Plate Design for an Organization - Nebraska, Page 5

    5

  • Application for Creation of a Specialty License Plate Design for an Organization - Nebraska, Page 6

    6

  • Application for Creation of a Specialty License Plate Design for an Organization - Nebraska, Page 1
  • Application for Creation of a Specialty License Plate Design for an Organization - Nebraska, Page 2
  • Application for Creation of a Specialty License Plate Design for an Organization - Nebraska, Page 3
  • Application for Creation of a Specialty License Plate Design for an Organization - Nebraska, Page 4
  • Application for Creation of a Specialty License Plate Design for an Organization - Nebraska, Page 5
  • Application for Creation of a Specialty License Plate Design for an Organization - Nebraska, Page 6
Prev 1 2 3 4 5 6 Next
ADVERTISEMENT