Form 100 Application for Liquor License Checklist - Retail - Nebraska

Notification Icon This version of the form is not currently in use and is provided for reference only. Download this version of Form 100 for the current year.

Form 100 Application for Liquor License Checklist - Retail - Nebraska

What Is Form 100?

This is a legal form that was released by the Nebraska Liquor Control Commission - a government authority operating within Nebraska. As of today, no separate filing guidelines for the form are provided by the issuing department.

FAQ

Q: What is Form 100?
A: Form 100 is an application for a liquor license.

Q: What type of license does Form 100 apply to?
A: Form 100 applies to retail liquor licenses in Nebraska.

Q: What is the purpose of Form 100?
A: The purpose of Form 100 is to apply for a liquor license for a retail establishment.

Q: What information is required on Form 100?
A: Form 100 requires information about the applicant, the establishment, and other related details.

Q: What is the checklist for Form 100?
A: The checklist for Form 100 includes a list of all the required documents and fees that need to be submitted with the application.

Q: How long does it take to process Form 100?
A: The processing time for Form 100 can vary, but it usually takes several weeks to complete the review and approval process.

Q: Is there a fee for submitting Form 100?
A: Yes, there is a fee associated with submitting Form 100. The exact amount depends on the type of license being applied for.

Q: Who can I contact for more information about Form 100?
A: For more information about Form 100 and the liquor license application process, you can contact the Nebraska Liquor Control Commission.

Q: Are there any specific requirements for obtaining a liquor license in Nebraska?
A: Yes, there are specific requirements for obtaining a liquor license in Nebraska. These requirements may include background checks, zoning compliance, and more. It is best to consult the Nebraska Liquor Control Commission for detailed information.

ADVERTISEMENT

Form Details:

  • Released on February 1, 2017;
  • The latest edition provided by the Nebraska Liquor Control Commission;
  • Easy to use and ready to print;
  • Quick to customize;
  • Compatible with most PDF-viewing applications;
  • Fill out the form in our online filing application.

Download a fillable version of Form 100 by clicking the link below or browse more documents and templates provided by the Nebraska Liquor Control Commission.

Download Form 100 Application for Liquor License Checklist - Retail - Nebraska

4.6 of 5 (86 votes)
  • Form 100 Application for Liquor License Checklist - Retail - Nebraska

    1

  • Form 100 Application for Liquor License Checklist - Retail - Nebraska, Page 2

    2

  • Form 100 Application for Liquor License Checklist - Retail - Nebraska, Page 3

    3

  • Form 100 Application for Liquor License Checklist - Retail - Nebraska, Page 4

    4

  • Form 100 Application for Liquor License Checklist - Retail - Nebraska, Page 5

    5

  • Form 100 Application for Liquor License Checklist - Retail - Nebraska, Page 6

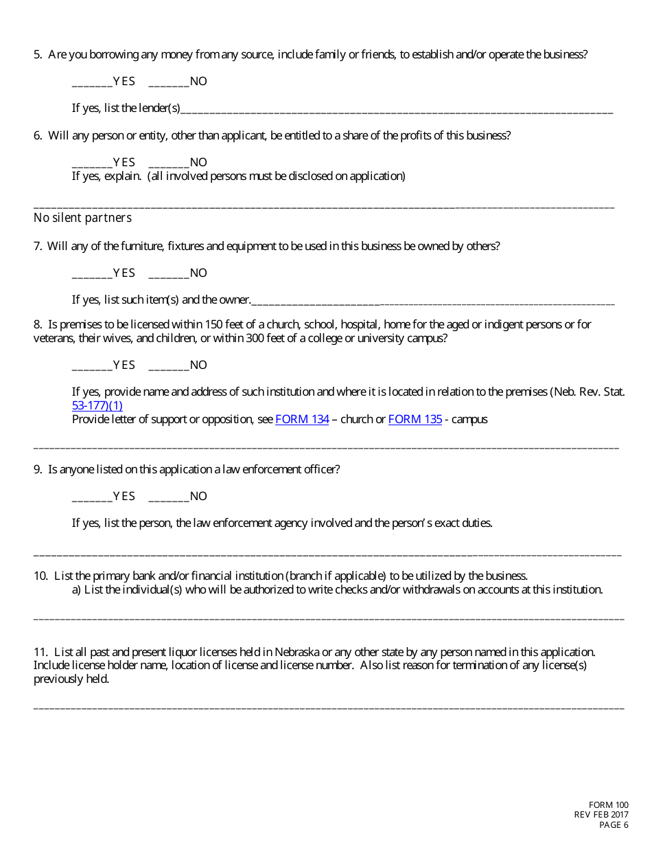
    6

  • Form 100 Application for Liquor License Checklist - Retail - Nebraska, Page 7

    7

  • Form 100 Application for Liquor License Checklist - Retail - Nebraska, Page 8

    8

  • Form 100 Application for Liquor License Checklist - Retail - Nebraska, Page 1
  • Form 100 Application for Liquor License Checklist - Retail - Nebraska, Page 2
  • Form 100 Application for Liquor License Checklist - Retail - Nebraska, Page 3
  • Form 100 Application for Liquor License Checklist - Retail - Nebraska, Page 4
  • Form 100 Application for Liquor License Checklist - Retail - Nebraska, Page 5
  • Form 100 Application for Liquor License Checklist - Retail - Nebraska, Page 6
  • Form 100 Application for Liquor License Checklist - Retail - Nebraska, Page 7
  • Form 100 Application for Liquor License Checklist - Retail - Nebraska, Page 8
Prev 1 2 3 4 5 ... 8 Next
ADVERTISEMENT