Instructions for Form 4096-EC / A Declaration of Custodian of Minor Child to Change Child Support Payee - Nevada

Instructions for Form 4096-EC / A Declaration of Custodian of Minor Child to Change Child Support Payee - Nevada

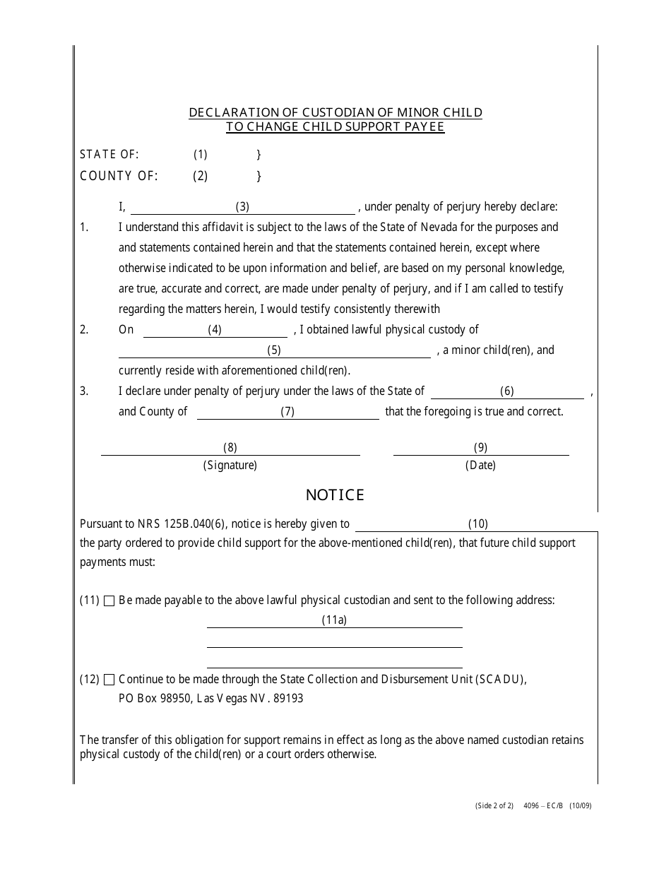
This document contains official instructions for Form 4096-EC/A , Declaration of Custodian of Minor Child to Change Child Support Payee - a form released and collected by the Nevada Department of Health and Human Services. An up-to-date fillable Form 4096-EC/A is available for download through this link.

FAQ

Q: What is Form 4096-EC/A?
A: Form 4096-EC/A is the Declaration of Custodian of Minor Child to Change Child Support Payee.

Q: Who needs to fill out Form 4096-EC/A?
A: The custodian of a minor child in Nevada needs to fill out Form 4096-EC/A.

Q: What is the purpose of Form 4096-EC/A?
A: The purpose of Form 4096-EC/A is to declare a change in the child support payee.

Q: Is Form 4096-EC/A specific to Nevada?
A: Yes, Form 4096-EC/A is specific to Nevada.

Q: Are there any fees associated with filing Form 4096-EC/A?
A: There are no fees associated with filing Form 4096-EC/A.

Q: What supporting documents do I need to include with Form 4096-EC/A?
A: You may need to include documents such as a court order or other legal documents related to the custody of the child.

Q: Is legal advice required to fill out Form 4096-EC/A?
A: Legal advice is not required to fill out Form 4096-EC/A, but you may consider consulting with an attorney if you have any legal concerns.

Q: What should I do if I need help filling out Form 4096-EC/A?
A: If you need help filling out Form 4096-EC/A, you can contact your local child support office or seek assistance from an attorney.

ADVERTISEMENT

Instruction Details:

  • This 2-page document is available for download in PDF;
  • Actual and applicable for the current year;
  • Complete, printable, and free.

Download your copy of the instructions by clicking the link below or browse hundreds of other forms in our library of forms released by the Nevada Department of Health and Human Services.

Download Instructions for Form 4096-EC / A Declaration of Custodian of Minor Child to Change Child Support Payee - Nevada

4.4 of 5 (7 votes)
  • Instructions for Form 4096-EC/A Declaration of Custodian of Minor Child to Change Child Support Payee - Nevada

    1

  • Instructions for Form 4096-EC/A Declaration of Custodian of Minor Child to Change Child Support Payee - Nevada, Page 2

    2

  • Instructions for Form 4096-EC / A Declaration of Custodian of Minor Child to Change Child Support Payee - Nevada, Page 1
  • Instructions for Form 4096-EC / A Declaration of Custodian of Minor Child to Change Child Support Payee - Nevada, Page 2
Prev 1 2 Next
ADVERTISEMENT