Retail Pharmacy Inspection Form - Nevada

Notification Icon This version of the form is not currently in use and is provided for reference only. Download this version of the document for the current year.

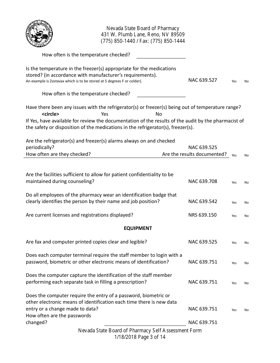
Retail Pharmacy Inspection Form - Nevada

Retail Pharmacy Inspection Form is a legal document that was released by the Nevada State Board of Pharmacy - a government authority operating within Nevada.

FAQ

Q: What is a retail pharmacy inspection form?
A: A retail pharmacy inspection form is a document used to evaluate the compliance of a pharmacy with state regulations and standards.

Q: Why is a retail pharmacy inspection form important?
A: A retail pharmacy inspection form is important because it ensures that pharmacies are operating in compliance with state regulations and standards, which helps to protect public health and safety.

Q: Who conducts retail pharmacy inspections in Nevada?
A: Retail pharmacy inspections in Nevada are typically conducted by the Nevada State Board of Pharmacy or its authorized representatives.

Q: What is evaluated during a retail pharmacy inspection?
A: During a retail pharmacy inspection, various aspects of the pharmacy's operations are evaluated, including storage of drugs, medication dispensing procedures, recordkeeping, and compliance with labeling requirements.

Q: What are the consequences of failing a retail pharmacy inspection?
A: The consequences of failing a retail pharmacy inspection can vary depending on the specific violations found. Sanctions may include fines, license suspension or revocation, or required corrective actions.

ADVERTISEMENT

Form Details:

  • Released on January 18, 2018;
  • The latest edition currently provided by the Nevada State Board of Pharmacy;
  • Ready to use and print;
  • Easy to customize;
  • Compatible with most PDF-viewing applications;
  • Fill out the form in our online filing application.

Download a printable version of the form by clicking the link below or browse more documents and templates provided by the Nevada State Board of Pharmacy.

Download Retail Pharmacy Inspection Form - Nevada

4.8 of 5 (29 votes)
  • Retail Pharmacy Inspection Form - Nevada

    1

  • Retail Pharmacy Inspection Form - Nevada, Page 2

    2

  • Retail Pharmacy Inspection Form - Nevada, Page 3

    3

  • Retail Pharmacy Inspection Form - Nevada, Page 4

    4

  • Retail Pharmacy Inspection Form - Nevada, Page 5

    5

  • Retail Pharmacy Inspection Form - Nevada, Page 6

    6

  • Retail Pharmacy Inspection Form - Nevada, Page 7

    7

  • Retail Pharmacy Inspection Form - Nevada, Page 8

    8

  • Retail Pharmacy Inspection Form - Nevada, Page 9

    9

  • Retail Pharmacy Inspection Form - Nevada, Page 10

    10

  • Retail Pharmacy Inspection Form - Nevada, Page 11

    11

  • Retail Pharmacy Inspection Form - Nevada, Page 12

    12

  • Retail Pharmacy Inspection Form - Nevada, Page 13

    13

  • Retail Pharmacy Inspection Form - Nevada, Page 14

    14

  • Retail Pharmacy Inspection Form - Nevada, Page 1
  • Retail Pharmacy Inspection Form - Nevada, Page 2
  • Retail Pharmacy Inspection Form - Nevada, Page 3
  • Retail Pharmacy Inspection Form - Nevada, Page 4
  • Retail Pharmacy Inspection Form - Nevada, Page 5
  • Retail Pharmacy Inspection Form - Nevada, Page 6
  • Retail Pharmacy Inspection Form - Nevada, Page 7
  • Retail Pharmacy Inspection Form - Nevada, Page 8
  • Retail Pharmacy Inspection Form - Nevada, Page 9
  • Retail Pharmacy Inspection Form - Nevada, Page 10
  • Retail Pharmacy Inspection Form - Nevada, Page 11
  • Retail Pharmacy Inspection Form - Nevada, Page 12
  • Retail Pharmacy Inspection Form - Nevada, Page 13
  • Retail Pharmacy Inspection Form - Nevada, Page 14
Prev 1 2 3 4 5 ... 14 Next
ADVERTISEMENT