SBA Form 2289 Borrower and Operating Company Certification

SBA Form 2289 Borrower and Operating Company Certification

What Is SBA Form 2289?

This is a legal form that was released by the U.S. Small Business Administration on April 1, 2013 and used country-wide. As of today, no separate filing guidelines for the form are provided by the issuing department.

FAQ

Q: What is SBA Form 2289?
A: SBA Form 2289 is the Borrower and Operating Company Certification form.

Q: What is the purpose of SBA Form 2289?
A: The purpose of SBA Form 2289 is for the borrower and operating company to certify certain information related to their eligibility for an SBA loan.

Q: Who needs to fill out SBA Form 2289?
A: The borrower and operating company are required to fill out SBA Form 2289.

Q: What information is required on SBA Form 2289?
A: SBA Form 2289 requires information related to the borrower's eligibility criteria, ownership and control, and other certifications.

ADVERTISEMENT

Form Details:

  • Released on April 1, 2013;
  • The latest available edition released by the U.S. Small Business Administration;
  • Easy to use and ready to print;
  • Yours to fill out and keep for your records;
  • Compatible with most PDF-viewing applications;
  • Fill out the form in our online filing application.

Download a fillable version of SBA Form 2289 by clicking the link below or browse more documents and templates provided by the U.S. Small Business Administration.

Download SBA Form 2289 Borrower and Operating Company Certification

4.4 of 5 (63 votes)
  • SBA Form 2289 Borrower and Operating Company Certification

    1

  • SBA Form 2289 Borrower and Operating Company Certification, Page 2

    2

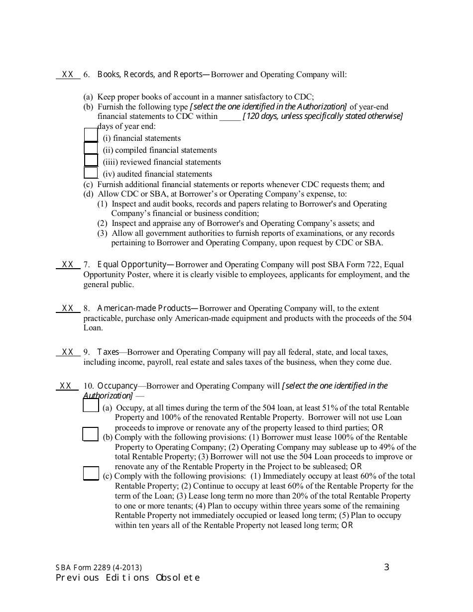
  • SBA Form 2289 Borrower and Operating Company Certification, Page 3

    3

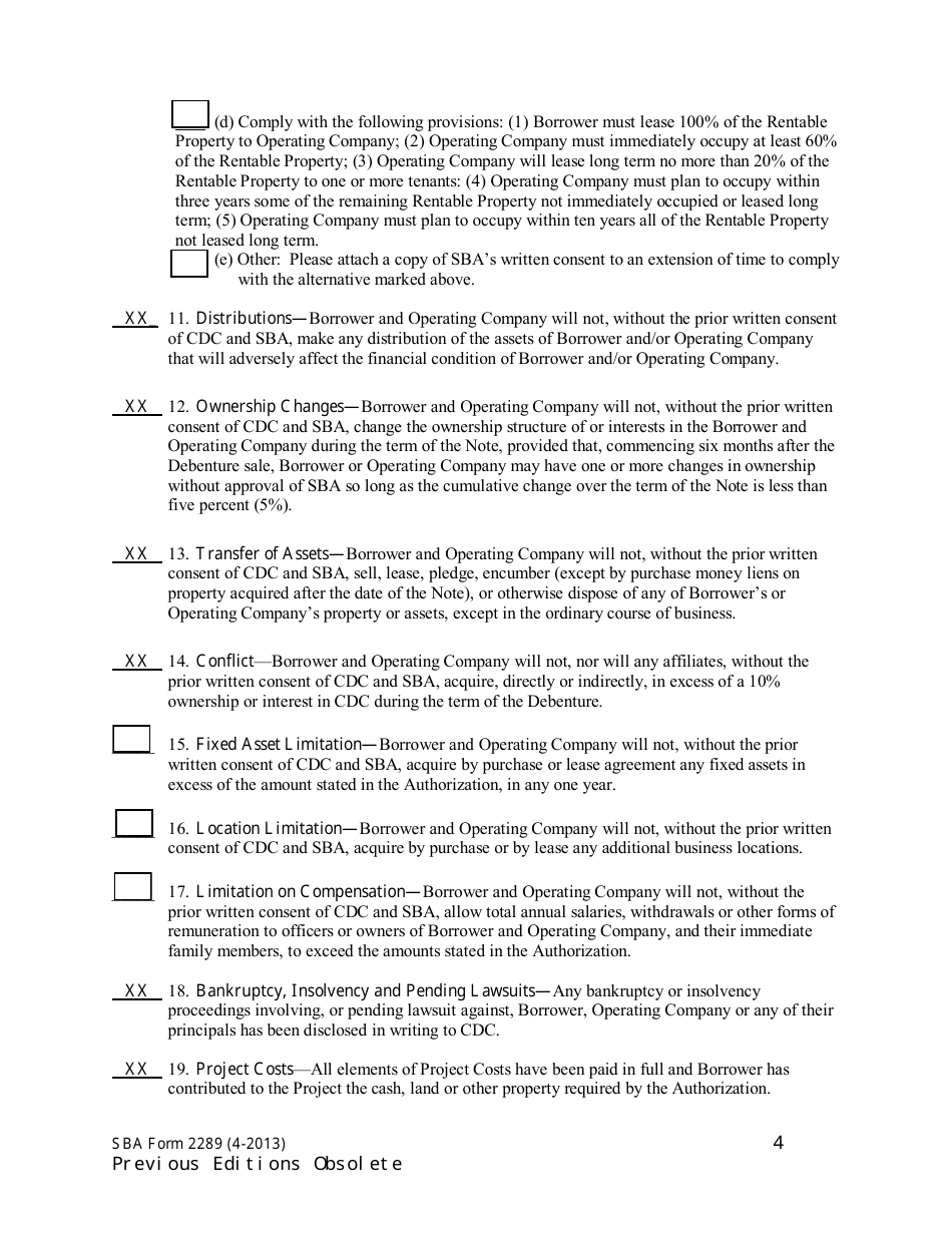
  • SBA Form 2289 Borrower and Operating Company Certification, Page 4

    4

  • SBA Form 2289 Borrower and Operating Company Certification, Page 5

    5

  • SBA Form 2289 Borrower and Operating Company Certification, Page 1
  • SBA Form 2289 Borrower and Operating Company Certification, Page 2
  • SBA Form 2289 Borrower and Operating Company Certification, Page 3
  • SBA Form 2289 Borrower and Operating Company Certification, Page 4
  • SBA Form 2289 Borrower and Operating Company Certification, Page 5
Prev 1 2 3 4 5 Next
ADVERTISEMENT