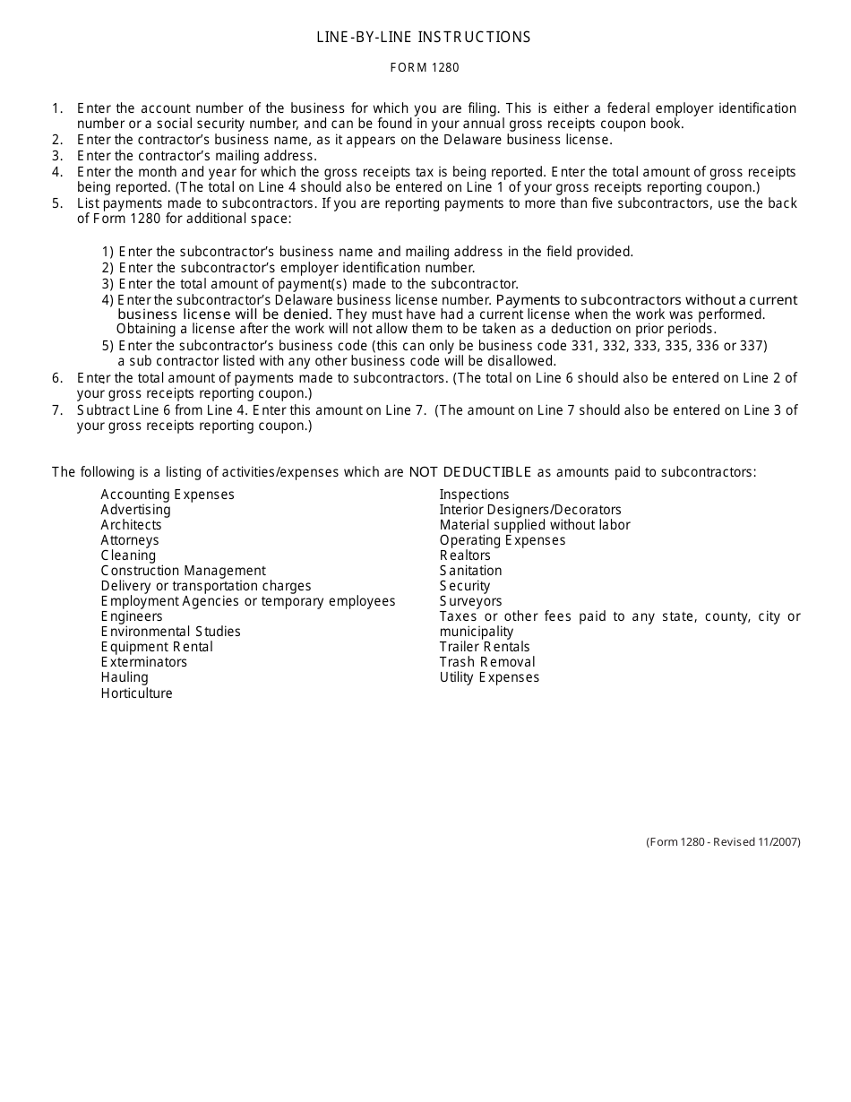
Form 1280 Statement of Payments Made by General Contractors to Subcontractors - Delaware

Form 1280 Statement of Payments Made by General Contractors to Subcontractors - Delaware

What Is Form 1280?

This is a legal form that was released by the Delaware Department of Finance - a government authority operating within Delaware. As of today, no separate filing guidelines for the form are provided by the issuing department.

FAQ

Q: What is Form 1280?
A: Form 1280 is the Statement of Payments Made by General Contractors to Subcontractors in Delaware.

Q: Who needs to file Form 1280?
A: General contractors in Delaware who make payments to subcontractors need to file Form 1280.

Q: What is the purpose of Form 1280?
A: The purpose of Form 1280 is to report payments made by general contractors to subcontractors in Delaware.

Q: When is Form 1280 due?
A: Form 1280 is due on or before February 15th of each year.

Q: Are there any penalties for not filing Form 1280?
A: Yes, there are penalties for not filing Form 1280 or filing it late. It is important to file on time to avoid penalties.

ADVERTISEMENT

Form Details:

  • Released on November 1, 2007;
  • The latest edition provided by the Delaware Department of Finance;
  • Easy to use and ready to print;
  • Quick to customize;
  • Compatible with most PDF-viewing applications;
  • Fill out the form in our online filing application.

Download a fillable version of Form 1280 by clicking the link below or browse more documents and templates provided by the Delaware Department of Finance.

Download Form 1280 Statement of Payments Made by General Contractors to Subcontractors - Delaware

4.6 of 5 (53 votes)
  • Form 1280 Statement of Payments Made by General Contractors to Subcontractors - Delaware

    1

  • Form 1280 Statement of Payments Made by General Contractors to Subcontractors - Delaware, Page 2

    2

  • Form 1280 Statement of Payments Made by General Contractors to Subcontractors - Delaware, Page 3

    3

  • Form 1280 Statement of Payments Made by General Contractors to Subcontractors - Delaware, Page 1
  • Form 1280 Statement of Payments Made by General Contractors to Subcontractors - Delaware, Page 2
  • Form 1280 Statement of Payments Made by General Contractors to Subcontractors - Delaware, Page 3
Prev 1 2 3 Next
ADVERTISEMENT