Form 752A Authorization for Release of Protected Health Information for the Use and Disclosure of Individually Indentifiable Health Information - New Hampshire

Form 752A Authorization for Release of Protected Health Information for the Use and Disclosure of Individually Indentifiable Health Information - New Hampshire

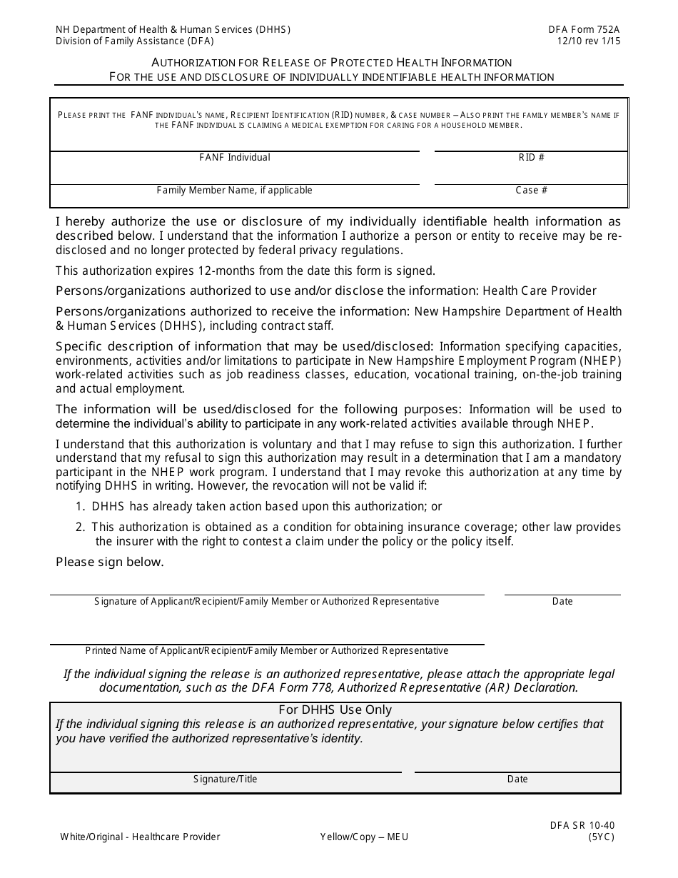
What Is DFA Form 752A?

This is a legal form that was released by the New Hampshire Department of Health and Human Services - Division of Family Assistance - a government authority operating within New Hampshire. As of today, no separate filing guidelines for the form are provided by the issuing department.

FAQ

Q: What is DFA Form 752A?
A: DFA Form 752A is Authorization for Release of Protected Health Information for the Use and Disclosure of Individually Identifiable Health Information.

Q: What is the purpose of DFA Form 752A?
A: The purpose of DFA Form 752A is to obtain authorization for the release of protected health information in New Hampshire.

Q: What is protected health information?
A: Protected health information refers to any information that relates to an individual's health condition or treatment, including medical records and test results.

Q: Who can use DFA Form 752A?
A: Any individual or entity that needs to obtain authorization to release protected health information in New Hampshire can use DFA Form 752A.

Q: How can DFA Form 752A be used?
A: DFA Form 752A can be used to authorize the use and disclosure of protected health information for purposes such as research, legal proceedings, or sharing medical records with another healthcare provider.

Q: Is DFA Form 752A specific to New Hampshire?
A: Yes, DFA Form 752A is specific to New Hampshire and is used to comply with the state's laws regarding the release of protected health information.

ADVERTISEMENT

Form Details:

  • Released on January 1, 2015;
  • The latest edition provided by the New Hampshire Department of Health and Human Services - Division of Family Assistance;
  • Easy to use and ready to print;
  • Quick to customize;
  • Compatible with most PDF-viewing applications;
  • Fill out the form in our online filing application.

Download a printable version of DFA Form 752A by clicking the link below or browse more documents and templates provided by the New Hampshire Department of Health and Human Services - Division of Family Assistance.

Download Form 752A Authorization for Release of Protected Health Information for the Use and Disclosure of Individually Indentifiable Health Information - New Hampshire

4.3 of 5 (63 votes)
  • Form 752A Authorization for Release of Protected Health Information for the Use and Disclosure of Individually Indentifiable Health Information - New Hampshire

    1

  • Form 752A Authorization for Release of Protected Health Information for the Use and Disclosure of Individually Indentifiable Health Information - New Hampshire, Page 2

    2

  • Form 752A Authorization for Release of Protected Health Information for the Use and Disclosure of Individually Indentifiable Health Information - New Hampshire, Page 1
  • Form 752A Authorization for Release of Protected Health Information for the Use and Disclosure of Individually Indentifiable Health Information - New Hampshire, Page 2
Prev 1 2 Next
ADVERTISEMENT

Related Documents