Form VSA633 Rescind a Disclosure Veto or No-Contact Declaration Pertaining to an Adopted Person or Birth Parent - British Columbia, Canada

Form VSA633 Rescind a Disclosure Veto or No-Contact Declaration Pertaining to an Adopted Person or Birth Parent - British Columbia, Canada

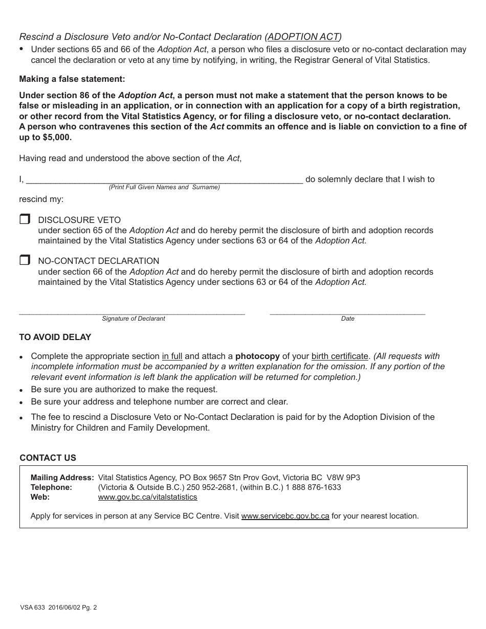
In British Columbia, Canada, the form VSA633 to rescind a disclosure veto or no-contact declaration pertaining to an adopted person or birth parent can be filed by the adopted person or birth parent themselves.

FAQ

Q: What is Form VSA633?
A: Form VSA633 is a form used in British Columbia, Canada to rescind a Disclosure Veto or No-Contact Declaration pertaining to an adopted person or birth parent.

Q: What is a Disclosure Veto?
A: A Disclosure Veto is a legal document that prevents the release of identifying information about an adopted person or birth parent in British Columbia, Canada.

Q: What is a No-Contact Declaration?
A: A No-Contact Declaration is a legal document that prohibits contact between an adopted person and their birth parent in British Columbia, Canada.

Q: Who can use Form VSA633?
A: Either an adopted person or a birth parent can use Form VSA633 to rescind a Disclosure Veto or No-Contact Declaration in British Columbia, Canada.

Q: How can Form VSA633 be used?
A: Form VSA633 can be used to revoke or cancel a previously filed Disclosure Veto or No-Contact Declaration in British Columbia, Canada.

Q: Is there a fee for submitting Form VSA633?
A: Yes, there is a fee associated with submitting Form VSA633 in British Columbia, Canada. The fee may vary, so it is best to check with the Vital Statistics Agency for the current fee.

ADVERTISEMENT

Download Form VSA633 Rescind a Disclosure Veto or No-Contact Declaration Pertaining to an Adopted Person or Birth Parent - British Columbia, Canada

4.8 of 5 (10 votes)
  • Form VSA633 Rescind a Disclosure Veto or No-Contact Declaration Pertaining to an Adopted Person or Birth Parent - British Columbia, Canada

    1

  • Form VSA633 Rescind a Disclosure Veto or No-Contact Declaration Pertaining to an Adopted Person or Birth Parent - British Columbia, Canada, Page 2

    2

  • Form VSA633 Rescind a Disclosure Veto or No-Contact Declaration Pertaining to an Adopted Person or Birth Parent - British Columbia, Canada, Page 1
  • Form VSA633 Rescind a Disclosure Veto or No-Contact Declaration Pertaining to an Adopted Person or Birth Parent - British Columbia, Canada, Page 2
Prev 1 2 Next
ADVERTISEMENT