Instructions for Form INV-E2 Annual Emissions Statement Form - New Hampshire

Instructions for Form INV-E2 Annual Emissions Statement Form - New Hampshire

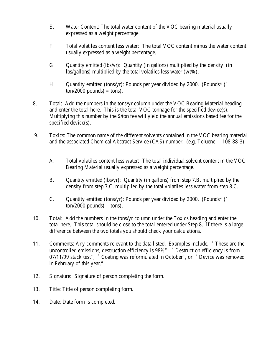
This document contains official instructions for Form INV-E2 , Annual Emissions Statement Form - a form released and collected by the New Hampshire Department of Environmental Services. An up-to-date fillable Form INV-E2 is available for download through this link.

FAQ

Q: What is the purpose of Form INV-E2?
A: Form INV-E2 is used to report annual emissions in New Hampshire.

Q: Who needs to file Form INV-E2?
A: Facilities in New Hampshire that are required to report their emissions must file Form INV-E2.

Q: How often do facilities need to file Form INV-E2?
A: Facilities need to file Form INV-E2 annually.

Q: What information is required on Form INV-E2?
A: Form INV-E2 requires information such as facility details, emission sources, and emission quantities.

Q: Are there any fees associated with filing Form INV-E2?
A: There are no fees associated with filing Form INV-E2.

Q: What happens if I don't file Form INV-E2?
A: Failure to file Form INV-E2 can result in penalties or legal consequences.

Q: Who should I contact for assistance with Form INV-E2?
A: For assistance with Form INV-E2, you can contact the New Hampshire Department of Environmental Services or refer to the instructions provided with the form.

ADVERTISEMENT

Instruction Details:

  • This 2-page document is available for download in PDF;
  • Actual and applicable for the current year;
  • Complete, printable, and free.

Download your copy of the instructions by clicking the link below or browse hundreds of other forms in our library of forms released by the New Hampshire Department of Environmental Services.

Download Instructions for Form INV-E2 Annual Emissions Statement Form - New Hampshire

4.6 of 5 (17 votes)
  • Instructions for Form INV-E2 Annual Emissions Statement Form - New Hampshire

    1

  • Instructions for Form INV-E2 Annual Emissions Statement Form - New Hampshire, Page 2

    2

  • Instructions for Form INV-E2 Annual Emissions Statement Form - New Hampshire, Page 1
  • Instructions for Form INV-E2 Annual Emissions Statement Form - New Hampshire, Page 2
Prev 1 2 Next
ADVERTISEMENT