Instructions for Form INV-V1 Annual VOC Emissions Statement Form - New Hampshire

Instructions for Form INV-V1 Annual VOC Emissions Statement Form - New Hampshire

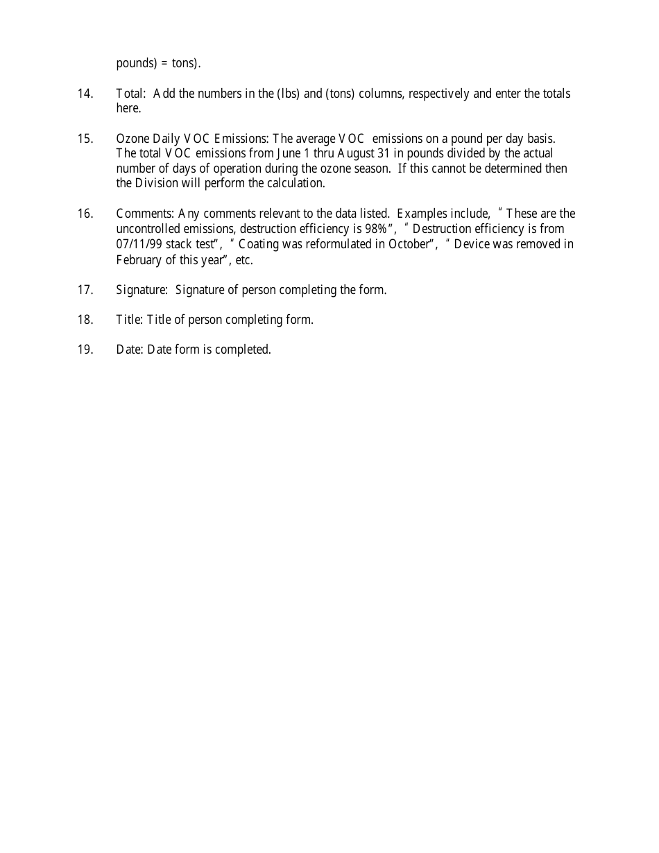
This document contains official instructions for Form INV-V1 , Annual VOC Emissions Statement Form - a form released and collected by the New Hampshire Department of Environmental Services. An up-to-date fillable Form INV-V1 is available for download through this link.

FAQ

Q: What is Form INV-V1?
A: Form INV-V1 is the Annual VOC Emissions Statement Form for New Hampshire.

Q: Who is required to file Form INV-V1?
A: Facilities in New Hampshire that emit volatile organic compounds (VOCs) are required to file Form INV-V1.

Q: What are volatile organic compounds (VOCs)?
A: Volatile organic compounds (VOCs) are organic chemicals that easily vaporize at room temperature. They can be found in many everyday products, such as household cleaners, paints, and solvents.

Q: What information is required in Form INV-V1?
A: Form INV-V1 requires facilities to provide information such as the facility name, address, industry classification, and VOC emissions data.

Q: When is the deadline to file Form INV-V1?
A: The deadline to file Form INV-V1 is generally March 1st of each year, covering the previous calendar year's emissions.

Q: Are there any filing fees for Form INV-V1?
A: No, there are no filing fees associated with Form INV-V1.

Q: Are there any penalties for not filing Form INV-V1?
A: Yes, there can be penalties for not filing Form INV-V1 or providing false information. It is important to comply with the filing requirements to avoid penalties.

ADVERTISEMENT

Instruction Details:

  • This 2-page document is available for download in PDF;
  • Actual and applicable for the current year;
  • Complete, printable, and free.

Download your copy of the instructions by clicking the link below or browse hundreds of other forms in our library of forms released by the New Hampshire Department of Environmental Services.

Download Instructions for Form INV-V1 Annual VOC Emissions Statement Form - New Hampshire

4.7 of 5 (20 votes)
  • Instructions for Form INV-V1 Annual VOC Emissions Statement Form - New Hampshire

    1

  • Instructions for Form INV-V1 Annual VOC Emissions Statement Form - New Hampshire, Page 2

    2

  • Instructions for Form INV-V1 Annual VOC Emissions Statement Form - New Hampshire, Page 1
  • Instructions for Form INV-V1 Annual VOC Emissions Statement Form - New Hampshire, Page 2
Prev 1 2 Next
ADVERTISEMENT