Form A-1244 Nmdot Civil Rights / EEO Pre-construction Conference Outline - New Mexico

Form A-1244 Nmdot Civil Rights / EEO Pre-construction Conference Outline - New Mexico

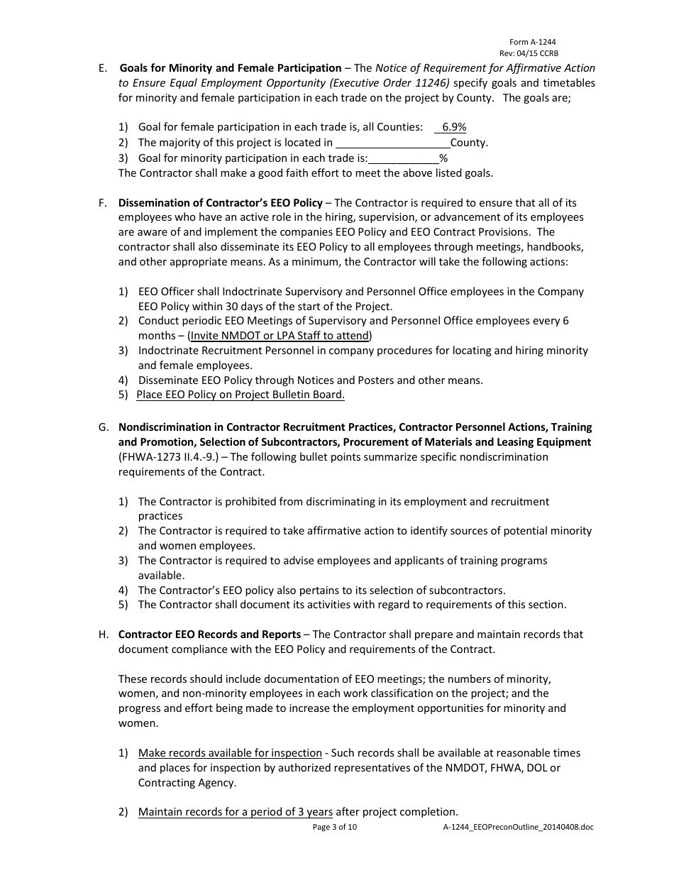
What Is Form A-1244?

This is a legal form that was released by the New Mexico Department of Transportation - a government authority operating within New Mexico. As of today, no separate filing guidelines for the form are provided by the issuing department.

FAQ

Q: What is Form A-1244 Nmdot?
A: Form A-1244 Nmdot is a document used for Civil Rights/EEO Pre-construction Conference Outline in New Mexico.

Q: What is the purpose of Form A-1244 Nmdot?
A: The purpose of Form A-1244 Nmdot is to outline the Civil Rights/EEO pre-construction conference in New Mexico.

Q: Who uses Form A-1244 Nmdot?
A: Form A-1244 Nmdot is used by the New Mexico Department of Transportation (NMDOT) for Civil Rights/EEO pre-construction conferences.

Q: What does the form include?
A: The form includes details about the participants, agenda, topics to be discussed, and any required documentation for the conference.

Q: Why is the Civil Rights/EEO pre-construction conference important?
A: The conference is important to ensure compliance with civil rights and equal employment opportunity requirements during the construction project.

ADVERTISEMENT

Form Details:

  • Released on April 1, 2015;
  • The latest edition provided by the New Mexico Department of Transportation;
  • Easy to use and ready to print;
  • Quick to customize;
  • Compatible with most PDF-viewing applications;
  • Fill out the form in our online filing application.

Download a printable version of Form A-1244 by clicking the link below or browse more documents and templates provided by the New Mexico Department of Transportation.

Download Form A-1244 Nmdot Civil Rights / EEO Pre-construction Conference Outline - New Mexico

4.4 of 5 (34 votes)
  • Form A-1244 Nmdot Civil Rights/EEO Pre-construction Conference Outline - New Mexico

    1

  • Form A-1244 Nmdot Civil Rights/EEO Pre-construction Conference Outline - New Mexico, Page 2

    2

  • Form A-1244 Nmdot Civil Rights/EEO Pre-construction Conference Outline - New Mexico, Page 3

    3

  • Form A-1244 Nmdot Civil Rights/EEO Pre-construction Conference Outline - New Mexico, Page 4

    4

  • Form A-1244 Nmdot Civil Rights/EEO Pre-construction Conference Outline - New Mexico, Page 5

    5

  • Form A-1244 Nmdot Civil Rights/EEO Pre-construction Conference Outline - New Mexico, Page 6

    6

  • Form A-1244 Nmdot Civil Rights/EEO Pre-construction Conference Outline - New Mexico, Page 7

    7

  • Form A-1244 Nmdot Civil Rights/EEO Pre-construction Conference Outline - New Mexico, Page 8

    8

  • Form A-1244 Nmdot Civil Rights/EEO Pre-construction Conference Outline - New Mexico, Page 9

    9

  • Form A-1244 Nmdot Civil Rights/EEO Pre-construction Conference Outline - New Mexico, Page 10

    10

  • Form A-1244 Nmdot Civil Rights / EEO Pre-construction Conference Outline - New Mexico, Page 1
  • Form A-1244 Nmdot Civil Rights / EEO Pre-construction Conference Outline - New Mexico, Page 2
  • Form A-1244 Nmdot Civil Rights / EEO Pre-construction Conference Outline - New Mexico, Page 3
  • Form A-1244 Nmdot Civil Rights / EEO Pre-construction Conference Outline - New Mexico, Page 4
  • Form A-1244 Nmdot Civil Rights / EEO Pre-construction Conference Outline - New Mexico, Page 5
  • Form A-1244 Nmdot Civil Rights / EEO Pre-construction Conference Outline - New Mexico, Page 6
  • Form A-1244 Nmdot Civil Rights / EEO Pre-construction Conference Outline - New Mexico, Page 7
  • Form A-1244 Nmdot Civil Rights / EEO Pre-construction Conference Outline - New Mexico, Page 8
  • Form A-1244 Nmdot Civil Rights / EEO Pre-construction Conference Outline - New Mexico, Page 9
  • Form A-1244 Nmdot Civil Rights / EEO Pre-construction Conference Outline - New Mexico, Page 10
Prev 1 2 3 4 5 ... 10 Next
ADVERTISEMENT