Form YG5655 Disclosure Veto and Statement Pertaining to an Adopted Person or Birth Parent - Yukon, Canada

Form YG5655 Disclosure Veto and Statement Pertaining to an Adopted Person or Birth Parent - Yukon, Canada

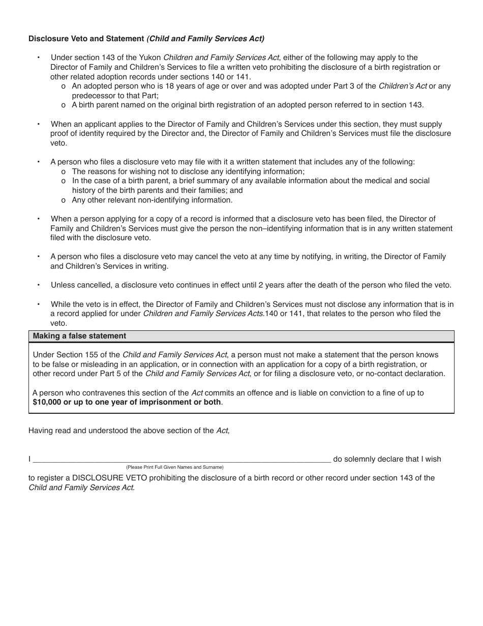
Form YG5655 Disclosure Veto and Statement Pertaining to an Adopted Person or Birth Parent - Yukon, Canada is used to disclose or restrict the release of identifying information about an adopted person or birth parent. It allows individuals involved in an adoption to express their preferences regarding the disclosure of their personal information.

In Yukon, Canada, the form YG5655 Disclosure Veto and Statement Pertaining to an Adopted Person or Birth Parent is filed by the adopted person or birth parent who wishes to impose a veto on the disclosure of their identifying information.

FAQ

Q: What is Form YG5655?
A: Form YG5655 is a Disclosure Veto and Statement Pertaining to an Adopted Person or Birth Parent in Yukon, Canada.

Q: What is the purpose of Form YG5655?
A: The purpose of Form YG5655 is to allow an adopted person or birth parent to disclose or veto the disclosure of identifying information to another party.

Q: Who can use Form YG5655?
A: Form YG5655 can be used by adopted persons, birth parents, and other parties involved in adoption proceedings in Yukon, Canada.

Q: What information can be disclosed or vetoed using Form YG5655?
A: Using Form YG5655, an adopted person or birth parent can disclose or veto the disclosure of their name, birth date, and contact information.

ADVERTISEMENT

Download Form YG5655 Disclosure Veto and Statement Pertaining to an Adopted Person or Birth Parent - Yukon, Canada

4.5 of 5 (11 votes)
  • Form YG5655 Disclosure Veto and Statement Pertaining to an Adopted Person or Birth Parent - Yukon, Canada

    1

  • Form YG5655 Disclosure Veto and Statement Pertaining to an Adopted Person or Birth Parent - Yukon, Canada, Page 2

    2

  • Form YG5655 Disclosure Veto and Statement Pertaining to an Adopted Person or Birth Parent - Yukon, Canada, Page 3

    3

  • Form YG5655 Disclosure Veto and Statement Pertaining to an Adopted Person or Birth Parent - Yukon, Canada, Page 4

    4

  • Form YG5655 Disclosure Veto and Statement Pertaining to an Adopted Person or Birth Parent - Yukon, Canada, Page 1
  • Form YG5655 Disclosure Veto and Statement Pertaining to an Adopted Person or Birth Parent - Yukon, Canada, Page 2
  • Form YG5655 Disclosure Veto and Statement Pertaining to an Adopted Person or Birth Parent - Yukon, Canada, Page 3
  • Form YG5655 Disclosure Veto and Statement Pertaining to an Adopted Person or Birth Parent - Yukon, Canada, Page 4
Prev 1 2 3 4 Next
ADVERTISEMENT