Instructions for Form PAW6735961 First Nations Child and Family Services Prevention Based Work Plan - Canada

Instructions for Form PAW6735961 First Nations Child and Family Services Prevention Based Work Plan - Canada

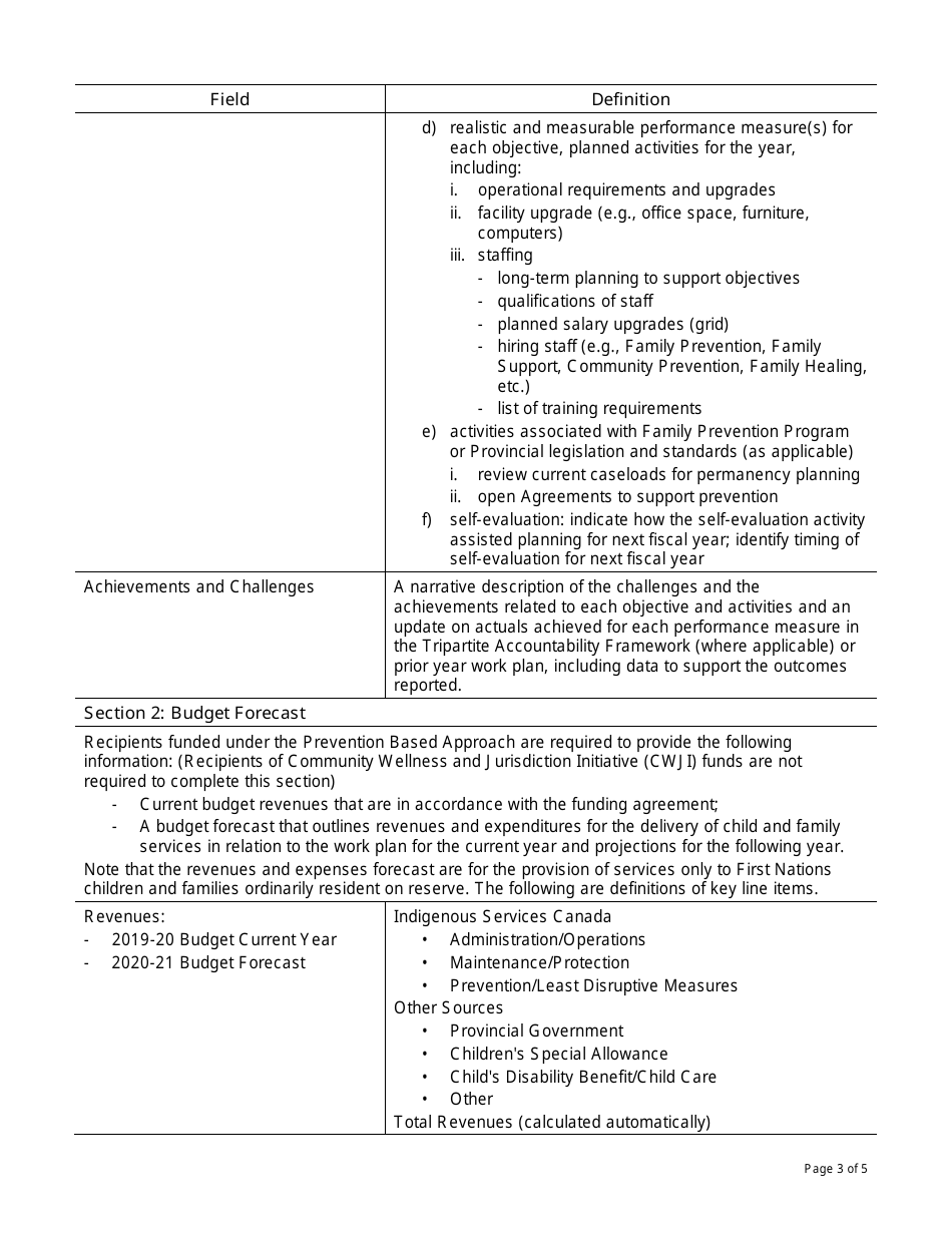
The Instructions for Form PAW6735961 (First Nations Child and Family Services Prevention Based Work Plan - Canada) provide guidance on how to complete the work plan for First Nationschild and family services. It outlines the necessary steps and information required to effectively support prevention-based services for indigenous communities in Canada.

The Instructions for Form PAW6735961 First Nations Child and Family Services Prevention Based Work Plan - Canada are filed by the First Nations Child and Family Services agency.

FAQ

Q: What is Form PAW6735961?
A: Form PAW6735961 is the First Nations Child and Family Services Prevention Based Work Plan in Canada.

Q: Who is required to fill out Form PAW6735961?
A: First Nations Child and Family Services agencies in Canada are required to fill out Form PAW6735961.

Q: What is the purpose of the Prevention Based Work Plan?
A: The purpose of the Prevention Based Work Plan is to outline the agency's goals, strategies, and activities to prevent the need for child apprehension and to support positive outcomes for First Nations children and families.

Q: What information is included in the Prevention Based Work Plan?
A: The Prevention Based Work Plan includes information about the agency's goals, strategies, activities, and performance measures related to preventing child apprehension.

Q: How often is Form PAW6735961 required to be updated?
A: Form PAW6735961 is required to be updated annually.

Q: Who can access the information provided in Form PAW6735961?
A: The information provided in Form PAW6735961 is accessible to the relevant government authorities and stakeholders responsible for monitoring and supporting First Nations Child and Family Services agencies.

Q: Are there any penalties for not submitting Form PAW6735961?
A: Failure to submit Form PAW6735961 may result in the withholding or reduction of funding for the agency.

ADVERTISEMENT

Download Instructions for Form PAW6735961 First Nations Child and Family Services Prevention Based Work Plan - Canada

4.5 of 5 (24 votes)
  • Instructions for Form PAW6735961 First Nations Child and Family Services Prevention Based Work Plan - Canada

    1

  • Instructions for Form PAW6735961 First Nations Child and Family Services Prevention Based Work Plan - Canada, Page 2

    2

  • Instructions for Form PAW6735961 First Nations Child and Family Services Prevention Based Work Plan - Canada, Page 3

    3

  • Instructions for Form PAW6735961 First Nations Child and Family Services Prevention Based Work Plan - Canada, Page 4

    4

  • Instructions for Form PAW6735961 First Nations Child and Family Services Prevention Based Work Plan - Canada, Page 5

    5

  • Instructions for Form PAW6735961 First Nations Child and Family Services Prevention Based Work Plan - Canada, Page 1
  • Instructions for Form PAW6735961 First Nations Child and Family Services Prevention Based Work Plan - Canada, Page 2
  • Instructions for Form PAW6735961 First Nations Child and Family Services Prevention Based Work Plan - Canada, Page 3
  • Instructions for Form PAW6735961 First Nations Child and Family Services Prevention Based Work Plan - Canada, Page 4
  • Instructions for Form PAW6735961 First Nations Child and Family Services Prevention Based Work Plan - Canada, Page 5
Prev 1 2 3 4 5 Next
ADVERTISEMENT