Application for Statement of Original Registration of Birth - New Brunswick, Canada

Application for Statement of Original Registration of Birth - New Brunswick, Canada

The Application for Statement of Original Registration of Birth in New Brunswick, Canada is used to request a certified copy of a person's original birth registration. This document is often required for various purposes such as obtaining identification documents, applying for government benefits, or researching family history.

The application for the Statement of Original Registration of Birth in New Brunswick, Canada is typically filed by the individual or their parent/legal guardian.

FAQ

Q: What is a Statement of Original Registration of Birth?
A: The Statement of Original Registration of Birth is an official document issued by the province of New Brunswick in Canada that certifies the birth of an individual.

Q: Who can apply for a Statement of Original Registration of Birth?
A: The person whose birth is registered or their legal guardian can apply for a Statement of Original Registration of Birth.

Q: How can I apply for a Statement of Original Registration of Birth in New Brunswick?
A: You can apply for a Statement of Original Registration of Birth by completing and submitting the application form to the Vital Statistics office in New Brunswick.

Q: What documents do I need to include with my application?
A: You will need to include a photocopy of your identification, such as a driver's license, and any additional supporting documents as required.

Q: Is there a fee for the application?
A: Yes, there is a fee for obtaining a Statement of Original Registration of Birth. The fee can vary, so it is best to check with the Vital Statistics office for the current fee schedule.

Q: How long does it take to process the application?
A: The processing time for a Statement of Original Registration of Birth can vary, but it typically takes a few weeks to receive the document.

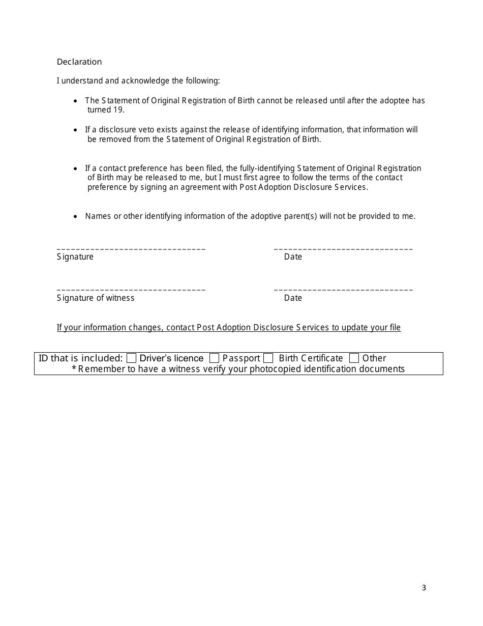
Q: Can I request a Statement of Original Registration of Birth if I was adopted?
A: If you were adopted, you will need to follow the specific adoption procedures to obtain your birth records.

Q: What can I use a Statement of Original Registration of Birth for?
A: A Statement of Original Registration of Birth can be used as proof of birth for various purposes, such as obtaining a passport, driver's license, or applying for government benefits.

ADVERTISEMENT

Download Application for Statement of Original Registration of Birth - New Brunswick, Canada

4.6 of 5 (9 votes)
  • Application for Statement of Original Registration of Birth - New Brunswick, Canada

    1

  • Application for Statement of Original Registration of Birth - New Brunswick, Canada, Page 2

    2

  • Application for Statement of Original Registration of Birth - New Brunswick, Canada, Page 3

    3

  • Application for Statement of Original Registration of Birth - New Brunswick, Canada, Page 4

    4

  • Application for Statement of Original Registration of Birth - New Brunswick, Canada, Page 1
  • Application for Statement of Original Registration of Birth - New Brunswick, Canada, Page 2
  • Application for Statement of Original Registration of Birth - New Brunswick, Canada, Page 3
  • Application for Statement of Original Registration of Birth - New Brunswick, Canada, Page 4
Prev 1 2 3 4 Next
ADVERTISEMENT

Related Documents