Form 23 Appointment to Examine for Discovery - British Columbia, Canada

Notification Icon This version of the form is not currently in use and is provided for reference only. Download this version of Form 23 for the current year.

Form 23 Appointment to Examine for Discovery - British Columbia, Canada

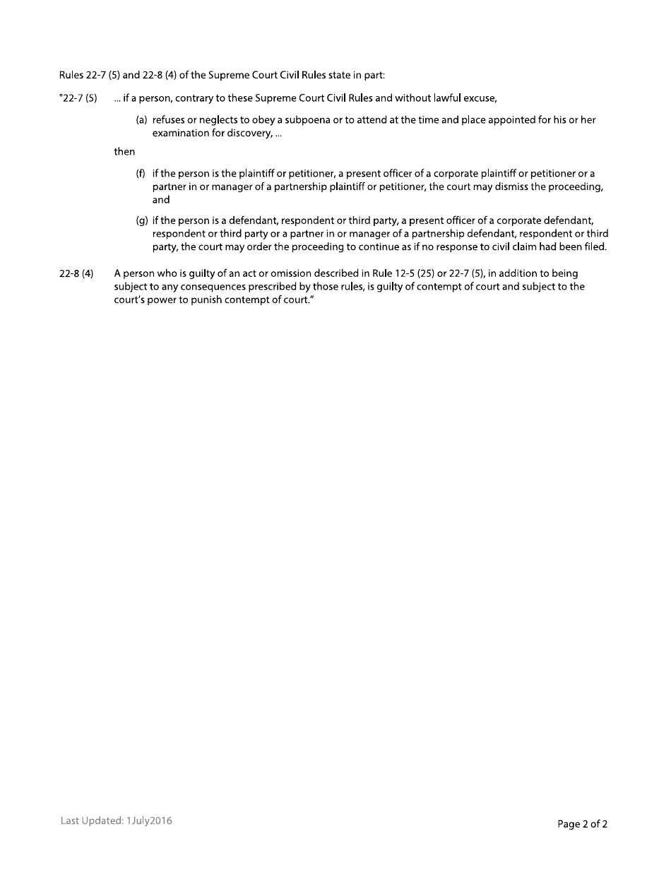
Form 23 Appointment to Examine for Discovery is used in British Columbia, Canada for scheduling a time and place for a legal examination to gather information and evidence in a civil lawsuit.

In British Columbia, Canada, it is the party who is seeking to examine another party that files Form 23 Appointment to Examine for Discovery.

FAQ

Q: What is Form 23?
A: Form 23 is a legal document used in British Columbia, Canada.

Q: What is the purpose of Form 23?
A: Form 23 is used to request an appointment to examine someone for discovery.

Q: Who can use Form 23?
A: Form 23 can be used by parties involved in a legal proceeding in British Columbia.

Q: What is an appointment to examine for discovery?
A: An appointment to examine for discovery is a process in which one party questions another party under oath in a legal proceeding.

Q: What information is needed to fill out Form 23?
A: Form 23 requires the names of the parties involved, the date and time requested for the examination, and other relevant details.

ADVERTISEMENT

Download Form 23 Appointment to Examine for Discovery - British Columbia, Canada

4.5 of 5 (16 votes)
  • Form 23 Appointment to Examine for Discovery - British Columbia, Canada

    1

  • Form 23 Appointment to Examine for Discovery - British Columbia, Canada, Page 2

    2

  • Form 23 Appointment to Examine for Discovery - British Columbia, Canada, Page 1
  • Form 23 Appointment to Examine for Discovery - British Columbia, Canada, Page 2
Prev 1 2 Next
ADVERTISEMENT