Form 45-106F9 Annex C Form for Individual Accredited Investors - Northwest Territories, Canada

Form 45-106F9 Annex C Form for Individual Accredited Investors - Northwest Territories, Canada

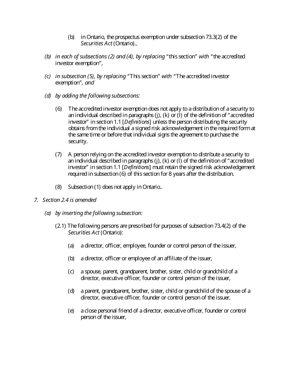
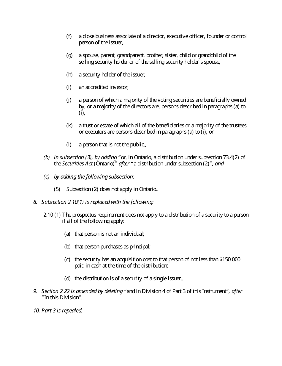
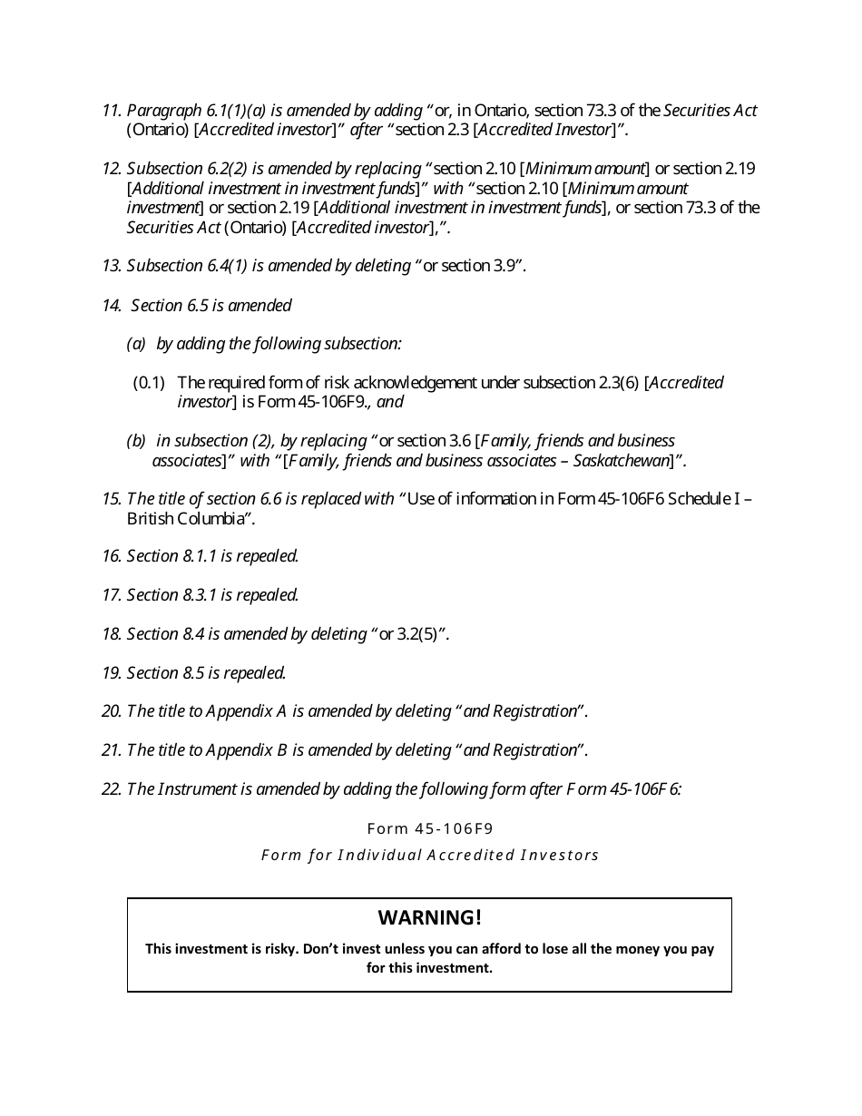
Form 45-106F9 Annex C is used for individual accredited investors in the Northwest Territories of Canada. It is used to collect information about their investment history and qualifications to comply with securities regulations in that specific region.

The individual accredited investor themselves would typically file the Form 45-106F9 Annex C form in Northwest Territories, Canada.

FAQ

Q: What is Form 45-106F9 Annex C?
A: Form 45-106F9 Annex C is a form for individual accredited investors in Northwest Territories, Canada.

Q: Who is required to fill out Form 45-106F9 Annex C?
A: Individual accredited investors in Northwest Territories, Canada are required to fill out Form 45-106F9 Annex C.

Q: What is the purpose of Form 45-106F9 Annex C?
A: The purpose of Form 45-106F9 Annex C is to provide information about individual accredited investors in Northwest Territories, Canada.

Q: Are there any fees associated with Form 45-106F9 Annex C?
A: There are no fees associated directly with Form 45-106F9 Annex C, but there may be other fees or requirements related to accredited investor filings in Northwest Territories, Canada.

ADVERTISEMENT

Download Form 45-106F9 Annex C Form for Individual Accredited Investors - Northwest Territories, Canada

4.7 of 5 (30 votes)
  • Form 45-106F9 Annex C Form for Individual Accredited Investors - Northwest Territories, Canada

    1

  • Form 45-106F9 Annex C Form for Individual Accredited Investors - Northwest Territories, Canada, Page 2

    2

  • Form 45-106F9 Annex C Form for Individual Accredited Investors - Northwest Territories, Canada, Page 3

    3

  • Form 45-106F9 Annex C Form for Individual Accredited Investors - Northwest Territories, Canada, Page 4

    4

  • Form 45-106F9 Annex C Form for Individual Accredited Investors - Northwest Territories, Canada, Page 5

    5

  • Form 45-106F9 Annex C Form for Individual Accredited Investors - Northwest Territories, Canada, Page 6

    6

  • Form 45-106F9 Annex C Form for Individual Accredited Investors - Northwest Territories, Canada, Page 7

    7

  • Form 45-106F9 Annex C Form for Individual Accredited Investors - Northwest Territories, Canada, Page 8

    8

  • Form 45-106F9 Annex C Form for Individual Accredited Investors - Northwest Territories, Canada, Page 1
  • Form 45-106F9 Annex C Form for Individual Accredited Investors - Northwest Territories, Canada, Page 2
  • Form 45-106F9 Annex C Form for Individual Accredited Investors - Northwest Territories, Canada, Page 3
  • Form 45-106F9 Annex C Form for Individual Accredited Investors - Northwest Territories, Canada, Page 4
  • Form 45-106F9 Annex C Form for Individual Accredited Investors - Northwest Territories, Canada, Page 5
  • Form 45-106F9 Annex C Form for Individual Accredited Investors - Northwest Territories, Canada, Page 6
  • Form 45-106F9 Annex C Form for Individual Accredited Investors - Northwest Territories, Canada, Page 7
  • Form 45-106F9 Annex C Form for Individual Accredited Investors - Northwest Territories, Canada, Page 8
Prev 1 2 3 4 5 ... 8 Next
ADVERTISEMENT

Related Documents