Bond - Commission Merchant (Produce) - New Jersey

Bond - Commission Merchant (Produce) - New Jersey

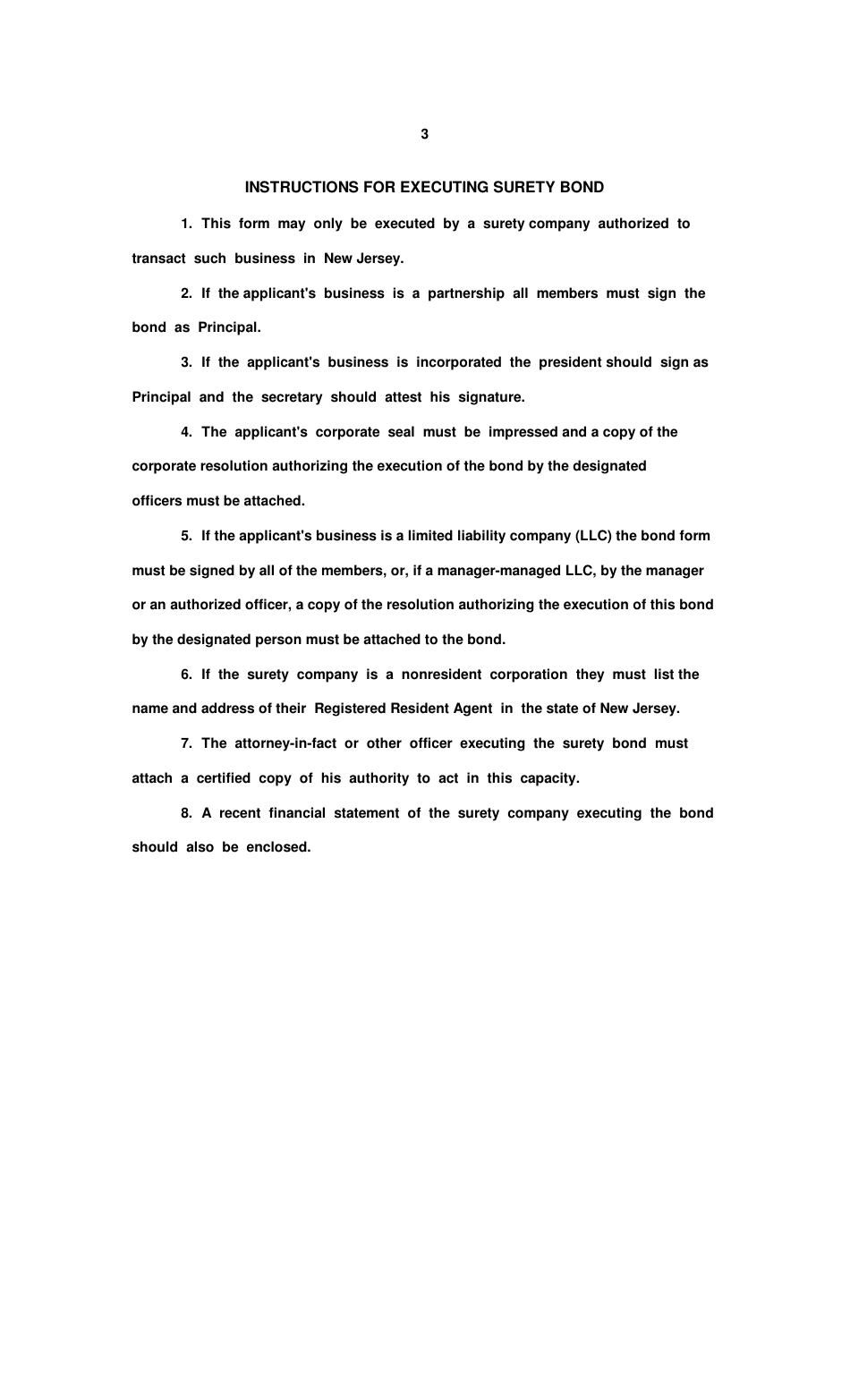
Bond - Commission Merchant (Produce) is a legal document that was released by the New Jersey Department of Agriculture - a government authority operating within New Jersey.

FAQ

Q: What is a Bond - Commission Merchant (Produce) in New Jersey?
A: A Bond - Commission Merchant (Produce) is a type of business that operates as an intermediary between agricultural producers and buyers, facilitating the sale and distribution of produce.

Q: What does a Bond - Commission Merchant (Produce) do?
A: A Bond - Commission Merchant (Produce) handles the marketing, sale, and distribution of agricultural produce, acting as a middleman between farmers and buyers.

Q: Do Bond - Commission Merchants (Produce) require a bond in New Jersey?
A: Yes, Bond - Commission Merchants (Produce) are required to obtain a bond in New Jersey to ensure the financial protection of farmers and buyers in case of any fraudulent activities or non-payment.

Q: What is the purpose of the bond for Bond - Commission Merchants (Produce)?
A: The purpose of the bond for Bond - Commission Merchants (Produce) is to provide financial protection to farmers and buyers in the event of non-payment or fraudulent actions by the merchant.

Q: How much is the bond amount for Bond - Commission Merchants (Produce) in New Jersey?
A: The bond amount required for Bond - Commission Merchants (Produce) in New Jersey is determined by the New Jersey Department of Agriculture, and it may vary depending on the volume of business conducted by the merchant.

Q: Can a Bond - Commission Merchant (Produce) operate without a bond in New Jersey?
A: No, Bond - Commission Merchants (Produce) are required by law to obtain a bond in New Jersey in order to operate legally and provide financial protection to farmers and buyers.

ADVERTISEMENT

Form Details:

  • The latest edition currently provided by the New Jersey Department of Agriculture;
  • Ready to use and print;
  • Easy to customize;
  • Compatible with most PDF-viewing applications;
  • Fill out the form in our online filing application.

Download a printable version of the form by clicking the link below or browse more documents and templates provided by the New Jersey Department of Agriculture.

Download Bond - Commission Merchant (Produce) - New Jersey

4.3 of 5 (17 votes)
  • Bond - Commission Merchant (Produce) - New Jersey

    1

  • Bond - Commission Merchant (Produce) - New Jersey, Page 2

    2

  • Bond - Commission Merchant (Produce) - New Jersey, Page 3

    3

  • Bond - Commission Merchant (Produce) - New Jersey, Page 4

    4

  • Bond - Commission Merchant (Produce) - New Jersey, Page 1
  • Bond - Commission Merchant (Produce) - New Jersey, Page 2
  • Bond - Commission Merchant (Produce) - New Jersey, Page 3
  • Bond - Commission Merchant (Produce) - New Jersey, Page 4
Prev 1 2 3 4 Next
ADVERTISEMENT